@Aero_UPM

36 Publicaciones

2.89k Interacciones

0 Seguidores

0 Siguiendo

Lista de publicaciones de Aero_UPM

examenes

-

Examenes Comentados

He publicado nuevos examenes de 1º Diseño, Cálculo y Certificación de Aeronaves: Examenes Comentados

ExOr-15-16.pdf
EXOr-16-17.pdf

examenes

-

Problemas de Examen Comentados

He publicado nuevos examenes de 1º Actuaciones, Diseño y Ensayos de Aerorreactores: Problemas de Examen Comentados

ADEA-16-17.pdf
ADEA-18-19.pdf

ejercicios

-

2020_Problemas

Problemas de clase comentados y con resultados intermedios

2020_P1_Tension_Diagonal
2020_P1_Tension_Diagonal
2020_P2_Tren_de_Aterrizaje.xlsx
2020_P3_DiagramaPL-R.xlsx
2020_P3_DiagramaPL-R.pdf
2020_P2_TrendeAterrizaje.pdf

He publicado nuevos apuntes de 1º Diseño, Cálculo y Certificación de Vehículos Espaciales: TRIAD.pdf

2 páginas

He publicado nuevos ejercicios de 1º Diseño, Cálculo y Certificación de Vehículos Espaciales: Actuadores.pdf

5 páginas

apuntes

-

Soporte

Carpeta con tablas actualizadas y gráficos más exactos.

Tablas_Flujo_Isoentropico.pdf
Onda_de_Choque_Oblicua_Angulo_MATLAB.pdf
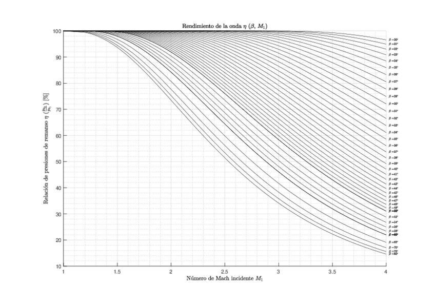
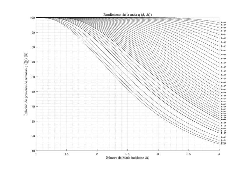
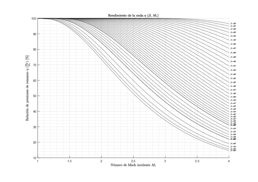
Onda_de_Choque_Oblicua_Rendimiento_MATLAB.pdf
Relaciones_Trigonometricas.pdf
Tablas_Onda_Choque_Normal.pdf
TransformaciondeJoukowsky.pdf

He publicado nuevos apuntes de 1º Mecánica de Fluidos Avanzada: Resumen_Segundo_Parcial.pdf

21 páginas

Definición, propiedades, teorema de Heaviside y tabla con las transformadas más utilizadas.

2 páginas

Tablas con adimensionalizaciones y los parámetros más importantes del desarrollo de Bryan

2 páginas

Demostración de la manipulación matemática en la demostración del momento de balance debido a la flecha del ala

1 página

apuntes

-

Soporte - Examen

Carpeta con tablas actualizadas, gráficos más exactos y demostraciones varias.

Demostraciones_Integrales.pdf
Tablas_Flujo_Isoentropico.pdf
Onda_de_Choque_Oblicua_Rendimiento_MATLAB.pdf
Relaciones_Trigonometricas.pdf
Tablas_Onda_Choque_Normal.pdf
Onda_de_Choque_Oblicua_Angulo_MATLAB.pdf