@Aeroanonymous

Bio: Aquí podréis encontrar apuntes, ejercicios y exámenes resueltos de las diversas asignaturas de Aeroespacial. Podéis seguirnos en nuestra cuenta oficial de Instagram:@aeroanonymous. Si necesitáis algún ejercicio resuelto que no sepáis hacer, solo tenéis que pedirlo. Mucho ánimo.

426 Publicaciones

37.41k Interacciones

80 Seguidores

0 Siguiendo

Lista de publicaciones de Aeroanonymous

test

-

TEST 2 PARCIAL

He publicado nuevos test de 4º Integración de Sistemas y Pruebas Funcionales: TEST 2 PARCIAL

CORRECCION-RAPIDA.pdf
ESTUDIAR.pdf
RESUELTO.pdf

Toda la teoría necesaria para el 2 parcial (Temas 9 y 10). Para ello se ha recopilado TODA la teoría de TODOS los 2dos parciales de la asignatura

7 páginas

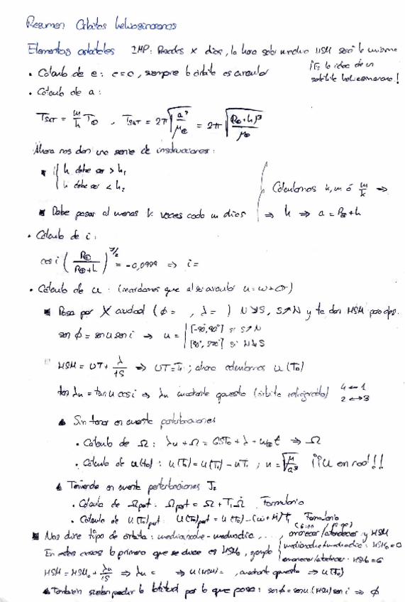
Explicación sobre como resolver cualquier problema de órbita heliosíncrona

1 página

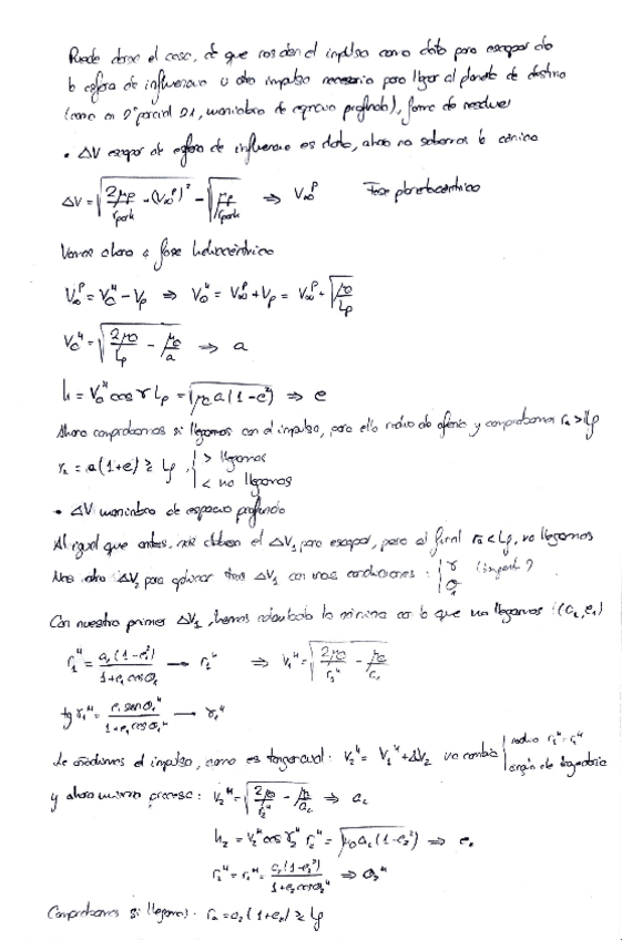
Explicación de como resolver cualquier problema de misiones interplanetarias.

5 páginas

He publicado nuevos examenes de 4º Proyectos Ingeniería Aeroespacial: TEST-POR-TEMAS-PARA-PRACTICAR.pdf

25 páginas

Todos los tipo test por tema subidos a EV (Enero 2023)

25 páginas

He publicado nuevos examenes de 4º Proyectos Ingeniería Aeroespacial: TODOS-LOS-TEST-EV.pdf

2 páginas

He publicado nuevos examenes de 4º Sistemas de Aeronaves: PROBLEMA-DISENO-AERONAUTICO-2.pdf

4 páginas

examenes

-

FALSO FINAL 2021-2022 RESUELTO

He publicado nuevos examenes de 2º Métodos Matemáticos: FALSO FINAL 2021-2022 RESUELTO

Miniatura no disponible
Problema11.m
Q1-Ex-Prueba-Resuelto.pdf
2200I12.pdf

examenes

-

ENUNCIADOS - 1ª CONVOCATORIA 2022

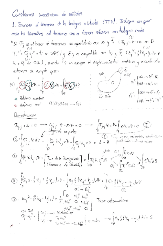
He publicado nuevos examenes de 3º Mecánica de Sólidos: ENUNCIADOS - 1ª CONVOCATORIA 2022

Teoria-primera-convocatoria-2022.pdf
Teoria-primera-convocatoria-2022.pdf
Problema-primera-convocatoria-2022.pdf
Problema-primera-convocatoria-2022.pdf

He publicado nuevos examenes de 3º Mecanica de Maquinas y Vibraciones: Enunciado-Convocatoria-Junio-2022.pdf

2 páginas

examenes

-

ENUNCIADOS 1 PARCIAL 2021-2022

He publicado nuevos examenes de 3º Mecánica de Sólidos: ENUNCIADOS 1 PARCIAL 2021-2022

TEORIA-1-PARCIAL-21-22.pdf
TEORIA-1-PARCIAL-21-22.pdf
PROBLEMA-1-PARCIAL-21-22.pdf
PROBLEMA-1-PARCIAL-21-22.pdf

examenes

-

1 PARCIAL - TODO

He publicado nuevos examenes de 3º Mecánica de Sólidos: 1 PARCIAL - TODO

RESUMEN-PROBLEMAS-1-Parcial.pdf
RESUMEN-PROBLEMAS-1-Parcial.pdf
TEST-1-Parcial.pdf
TEST-1-Parcial.pdf
CUESTIONES-1-Parcial.pdf
CUESTIONES-1-Parcial.pdf

examenes

-

ENUNCIADOS 2 PARCIAL 2021-2022

He publicado nuevos examenes de 3º Mecánica de Sólidos: ENUNCIADOS 2 PARCIAL 2021-2022

PROBLEMA-PLASTICIDAD-2-PARCIAL-21-22.pdf
PROBLEMA-PLASTICIDAD-2-PARCIAL-21-22.pdf
TEORIA-2-PARCIAL-21-22.pdf
TEORIA-2-PARCIAL-21-22.pdf

He publicado nuevos examenes de 3º Estructuras Aeronáuticas: CONVOCATORIA-JUNIO-2022.pdf

1 página

examenes

-

EXAMENES RESUELTOS Y EXPLICADOS

He publicado nuevos examenes de 3º Estructuras Aeronáuticas: EXAMENES RESUELTOS Y EXPLICADOS

MONOCASCO-JUNIO-2015.pdf
MONOCASCO-JUNIO-1981.pdf
SEMIMONOCASCO-JUNIO-2016.pdf
SEMIMONOCASCO-JUNIO-2015.pdf
SEMIMONOCASCO-JUNIO-1980.pdf
SEMIMONOCASCO-SEPTIEMBRE-2015.pdf

examenes

-

FALSO FINAL 2021-2022

He publicado nuevos examenes de 2º Métodos Matemáticos: FALSO FINAL 2021-2022

emin.pdf
2200I21.pdf

examenes

-

EXAMEN RESUELTO BLOQUE 2 PARCIAL 2022

He publicado nuevos examenes de 3º Instalaciones de Fabricación y Sistemas de Producción: EXAMEN RESUELTO BLOQUE 2 PARCIAL 2022

IFSPExamen-Parcial-Bloque-2-02-06-22-RESUELTO.pdf
IFSPExamen-Parcial-Bloque-2-b-02-06-22-RESUELTO.pdf

He publicado nuevos apuntes de 3º Instalaciones de Fabricación y Sistemas de Producción: RESUMEN-BLOQUE-II.pdf

4 páginas

ejercicios

-

BOLETINES SISTEMAS RESUELTOS

He publicado nuevos ejercicios de 3º Instalaciones de Fabricación y Sistemas de Producción: BOLETINES SISTEMAS RESUELTOS

Boletin-1-RESUELTO.pdf
Problemas-Tema-3-RESUELTOS.pdf
Boletin-2-RESUELTO.pdf
PROBLEMAS-OEEE.pdf