@aeroaprobadoo

28 Publicaciones

2.17k Interacciones

6 Seguidores

0 Siguiendo

Lista de publicaciones de aeroaprobadoo

He publicado nuevos apuntes de 4º control y gestión del tránsito aéreo: GTA-APUNTES-PEI2-parte-luis.pdf

45 páginas

He publicado nuevos apuntes de 4º control y gestión del tránsito aéreo: GTA-APUNTES-PEI2-parte-javier.pdf

26 páginas

Todos los apuntes para superar el Parcial 1

57 páginas

He publicado nuevos ejercicios de 2º Resistencia de Materiales y Elasticidad: Ejercicios-Barras-IPAD-PEI-1.pdf

17 páginas

He publicado nuevos apuntes de 2º Resistencia de Materiales y Elasticidad: Formulario-Barras-IPAD-de-10.pdf

3 páginas

He publicado nuevos ejercicios de 2º Resistencia de Materiales y Elasticidad: Ejercicios-Depositos-Y-Zunchado-IPAD-PEI-1.pdf

5 páginas

He publicado nuevos ejercicios de 2º Resistencia de Materiales y Elasticidad: Ejercicios-Elasticidad-IPAD-PEI-1.pdf

25 páginas

He publicado nuevos apuntes de 2º Resistencia de Materiales y Elasticidad: Formulario-Elasticidad-IPAD-DE-10.pdf

7 páginas

He publicado nuevos ejercicios de 2º Electrónica y Automática: EJERCICIOS-PARA-10-PEI-1.pdf

24 páginas

Todo métodos subido!! TEORÍA + MUCHÍSIMOS EJERCICIOS DE EXAMEN para practicar!! A por todas en la extraa :)

examenes

-

MÉTODOS: TEORIA + EXAMENES

He publicado nuevos examenes de 2º Métodos Matemáticos: MÉTODOS: TEORIA + EXAMENES

PARCIAL-1-TEORIA.pdf
PARCIAL-2-TEORIA.pdf
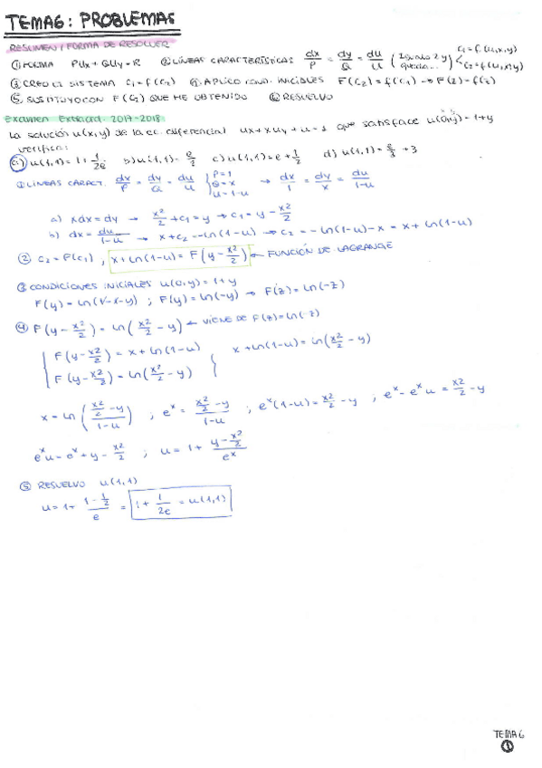
RESUMEN-TODOS-LOS-METODOS-DE-RESOLUCION.pdf
EJERCICIOS-EXAMEN-PARTE-1-PARCIAL-1.pdf
EJERCICOS-EXAMEN-ESTABILIDAD-COEF-CONSTANTES-PARTE-2-PARCIAL-1.pdf
EJERCICIOS-DE-EXAMEN-PARTE-1-PARCIAL-2.pdf

apuntes

-

FORMULARIO PEI1 DE 10!

PARA SACAR UN 10! Todo lo que entra en el primer parcial!

FORMULARIO-PEI1.pdf

Intensivo de academia

5 páginas

Intensivo de academia

12 páginas

He publicado nuevos apuntes de 1º Física I: TEMA-2-FISICA-1-ACADEMIA.pdf

11 páginas

He publicado nuevos apuntes de 1º Física I: TEMA-1-FISICA-1-ACADEMIA.pdf

7 páginas

He publicado nuevos ejercicios de 2º Termodinámica: PROBLEMA-7-RESUELTO-CABRERA.pdf

4 páginas

He publicado nuevos apuntes de 2º Termodinámica: APUNTES-TEMA-2-TERMO-CABRERA.pdf

6 páginas

He publicado nuevos apuntes de 2º Termodinámica: APUNTES-TERMO-TEMA-1-CABRERA.pdf

5 páginas

He publicado nuevos apuntes de 2º Ingeniería Eléctrica: formularios-electrica.pdf

3 páginas