@aerofoxi

24 Publicaciones

2.34k Interacciones

1 Seguidores

0 Siguiendo

Lista de publicaciones de aerofoxi

He publicado nuevos apuntes de 4º Propulsión de Aeronaves: Formularioteoria.pdf

11 páginas

He publicado nuevos apuntes de 4º Propulsión de Aeronaves: Formularioproblemas.pdf

2 páginas

apuntes

-

Exam+Formulario+Ejercicios

He publicado nuevos apuntes de 3º Motores Cohete: Exam+Formulario+Ejercicios

Ejercicios2parcial.pdf
formulario2p.pdf
ejercicios1parcial.pdf
Formulario1p.pdf

He publicado nuevos apuntes de 4º Aeroelasticidad: FormularioAE.pdf

3 páginas

apuntes

-

Apuntes para Trabajos MAA

He publicado nuevos apuntes de 3º Motores Alternativos Aeronáuticos: Apuntes para Trabajos MAA

resumenmodelo.pdf
Coefregularidad.pdf

apuntes

-

Apuntes de clase - Estabilidad y Control

He publicado nuevos apuntes de 3º Mecánica del Vuelo: Apuntes de clase - Estabilidad y Control

MVtema10.pdf
MVtema12.pdf
MVtema9.pdf
MVtema11.pdf

apuntes

-

Apuntes de clase - Actuaciones

He publicado nuevos apuntes de 3º Mecánica del Vuelo: Apuntes de clase - Actuaciones

MVtema3.pdf
MVtema2.pdf
MVtema7.pdf
MVtema6.pdf
MVtema1.pdf
MVtema5.pdf

apuntes

-

Teoría MCh 1º Parcial

He publicado nuevos apuntes de 3º Motores Cohete: Teoría MCh 1º Parcial

MChtema2.pdf
MChtema3.pdf
MChtema1.pdf

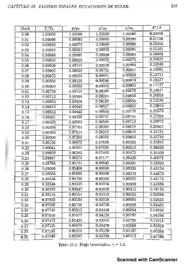
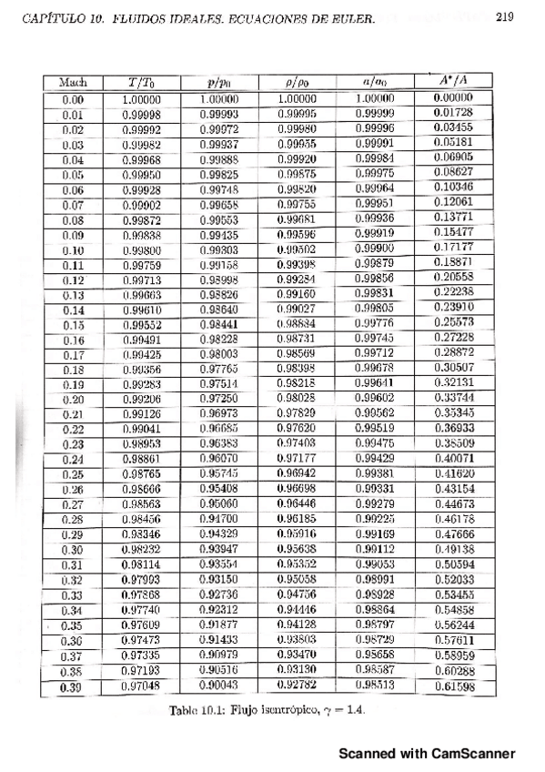
He publicado nuevos apuntes de 2º Mecánica de Fluidos: isentropic_flow_tables.pdf

13 páginas