@aerogilipollas

Bio: . y digo si apruebas

25 Publicaciones

3.53k Interacciones

1 Seguidores

1 Siguiendo

Lista de publicaciones de aerogilipollas

He publicado nuevos examenes de 1º Diseño, Cálculo y Certificación de Aeronaves: DCCA20220606-sol.pdf

8 páginas

examenes

-

Examen Ordinario Curso 2021-22

He publicado nuevos examenes de 1º Aeroelasticidad Avanzada: Examen Ordinario Curso 2021-22

E2-con-SOL.pdf
Teo-y-E1-con-SOL.pdf

Las soluciones de la parte de eléctrica se obtvieron por consenso.

15 páginas

He publicado nuevos apuntes de 1º Desarrollo del Sistema de Navegación Aérea: Resumen-frecuencias.pdf

pdf

He publicado nuevos apuntes de 1º Desarrollo del Sistema de Navegación Aérea: Todas-las-normativas.pdf

pdf

He publicado nuevos otros de 1º Mecánica de Fluidos Avanzada: Soluciones-num.zip

Miniatura no disponible
zip

He publicado nuevos test de 1º Desarrollo del Sistema de Navegación Aérea: Test-Kahoot-y-Soluciones.pdf

pdf

examenes

-

PEI 2021-22

He publicado nuevos examenes de 1º Explotación del Transporte Aéreo: PEI 2021-22

PEI-2021-22-Solucion.pdf
PEI-2021-22.pdf

He publicado nuevos examenes de 1º Materiales y Producción Avanzados: Problema-EQUILIBRADO-y-SOLUCION-2021-22.pdf

2 páginas

He publicado nuevos examenes de 1º Materiales y Producción Avanzados: Problema-EQUILIBRADO-parcial-2020-21.pdf

2 páginas

He publicado nuevos examenes de 1º Materiales y Producción Avanzados: Preguntas-Test-Procesos-y-Respuestas.pdf

11 páginas

apuntes

-

Apuntes VA (actualizado el 03/04)

Me cansé hacia el final de misiles. Lo siento mucho

ApuntesVA.pdf
Miniatura no disponible
ApuntesVA (con enlaces).zip

He publicado nuevos examenes de 4º Ingles Academico y Profesional i: Module-3.pdf

5 páginas

He publicado nuevos apuntes de 3º Aleaciones Aeroespaciales II: Indice-con-paginas-Libro-Aleaciones.pdf

4 páginas

examenes

-

Parcial 3 2014-15

He publicado nuevos examenes de 2º Ingeniería Eléctrica: Parcial 3 2014-15

test2015.jpeg
sol2015.jpeg

He publicado nuevos otros de 2º Ingeniería Eléctrica: Notas P3 - HP Prime.zip

Miniatura no disponible
zip

examenes

-

P3 Test y Problema 2018-2019

He publicado nuevos examenes de 2º : P3 Test y Problema 2018-2019

181221_TestProbDinPtoEst.pdf
181221_Soluciones_TestProbDinPtoEst.pdf

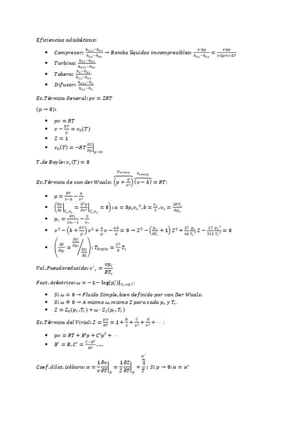
He publicado nuevos apuntes de 2º Termodinámica: Formulario parcial 3.pdf

5 páginas

examenes

-

Parcial 1 2018-19

He publicado nuevos examenes de 2º Ingeniería Eléctrica: Parcial 1 2018-19

20180510_1er_PARCIAL_V1234.pdf
SOLUCIONES_PARCIAL_1_05102018.pdf