@AeroPrince

20 Publicaciones

1.98k Interacciones

1 Seguidores

0 Siguiendo

Lista de publicaciones de AeroPrince

He publicado nuevos apuntes de 4º Ingles Academico y Profesional i: Deberes-modulo-4-ingles-paginas-eliminadas.pdf

19 páginas

He publicado nuevos ejercicios de 4º Ingles Academico y Profesional i: Deberes-modulo-4-ingles-paginas-eliminadas.pdf

19 páginas

He publicado nuevos ejercicios de 4º Ingles Academico y Profesional i: Redaccion-video-1-hora.pdf

1 página

He publicado nuevos apuntes de 3º Vibraciones: Tipos-de-CARGA-LIBRE.pdf

8 páginas

apuntes

-

Formularios

He publicado nuevos apuntes de 3º Estructuras: Formularios

Formulario-6.pdf
Formulario-2.pdf
Formulario-4.pdf
Formulario-5.pdf
Formulario-1.pdf
Formulario-3.pdf

He publicado nuevos examenes de 3º Sistemas de Producción Aeroespacial: Problema-pert.pdf

3 páginas

He publicado nuevos examenes de 4º Aeronaves de Ala Rotatoria: Julio-2020.pdf

15 páginas

He publicado nuevos ejercicios de 3º Sistemas de Producción Aeroespacial: Problema-pert.pdf

3 páginas

He publicado nuevos ejercicios de 4º Ingles Academico y Profesional i: Redaccion-video-1-hora.pdf

1 página

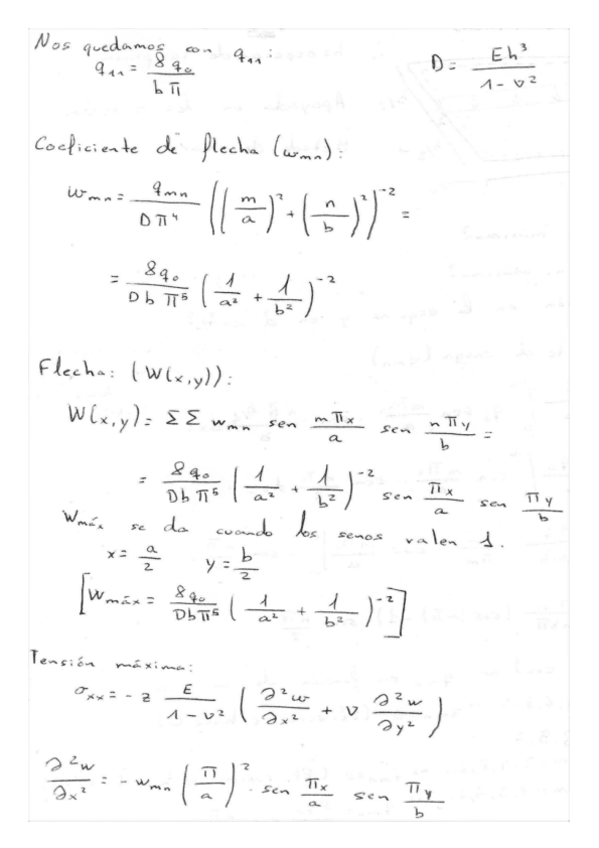
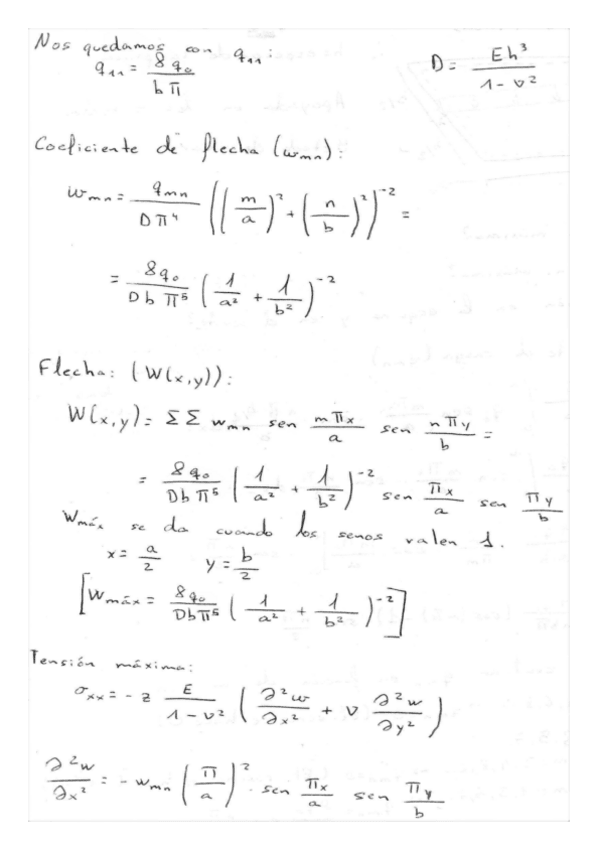
He publicado nuevos ejercicios de 3º Mecánica de Sólidos: Ejercicio-clase-resuelto-Placas-Navier.pdf

4 páginas

apuntes

-

Teoría AAR

He publicado nuevos apuntes de 4º Aeronaves de Ala Rotatoria: Teoría AAR

Tema-1 AAR.pdf
Tema-2 AAR.pdf
Tema-3 AAR.pdf
Tema-4 AAR.pdf