@AeroResumen

121 Publicaciones

4.23k Interacciones

6 Seguidores

7 Siguiendo

Lista de publicaciones de AeroResumen

He publicado nuevos apuntes de 4º Mantenimiento y Certificación de Vehículos Aeroespaciales: Prob.-segunda-parte-EO-2024-EXPLICADO.pdf

2 páginas

He publicado nuevos apuntes de 4º Mantenimiento y Certificación de Vehículos Aeroespaciales: Problemas-Ordinario-2024-EXPLICADOS-primera-parte.pdf

3 páginas

apuntes

-

EXAMENES Y PROBLEMAS MOODLE

He publicado nuevos apuntes de 4º Vehículos Espaciales: EXAMENES Y PROBLEMAS MOODLE

EXAMEN-ENERO-2022.pdf
EXAMEN-ENERO-2023.pdf
EXAMEN-EXTRAORDINARIO-2021.pdf
EXAMEN-EXTRAORDINARIO-2022.pdf
EXAMEN-JULIO-2016.pdf
EXAMEN-JULIO-2019.pdf

apuntes

-

Exámenes y problemas de examen

He publicado nuevos apuntes de 4º Aeronaves de Ala Fija: Exámenes y problemas de examen

EXAMEN-FEBRERO-2021.pdf
EXAMEN-JUNIO-2022.pdf
EXAMEN-JUNIO-2023.pdf
PROBLEMAS-BLOQUE-1.pdf
PROBLEMAS-BLOQUE-2.pdf
PROBLEMAS-MOODLE-1.pdf

He publicado nuevos apuntes de 4º Aeronaves de Ala Fija: RESUMEN-ASIGNATURA-COMPLETA.pdf

8 páginas

apuntes

-

Con esto saqué un 10 en Misiles

He publicado nuevos apuntes de 4º Misiles: Con esto saqué un 10 en Misiles

EXAMEN-16012020.pdf
EXAMEN-17012019.pdf
EXAMEN-18012022.pdf
EXAMEN-20062019.pdf
EXAMEN-26062020.pdf
EXAMEN-27-JUNIO-2023.pdf

ejercicios

-

Práctica y problemas explicados

He publicado nuevos ejercicios de 4º Aeronaves de Ala Rotatoria: Práctica y problemas explicados

PRACTICA-AAR.pdf
PROBLEMAS-AAR.pdf

apuntes

-

PROBLEMAS DE EXAMEN

He publicado nuevos apuntes de 3º Vibraciones: PROBLEMAS DE EXAMEN

PROBLEMAS-1-GDL.pdf
PROBLEMAS-G-GDL.pdf

apuntes

-

EXÁMENES RESUELTOS

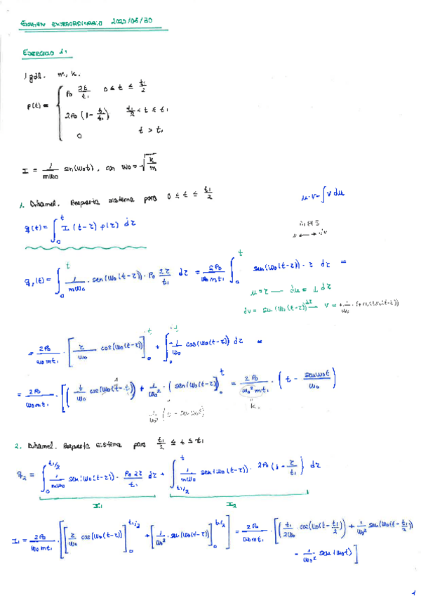
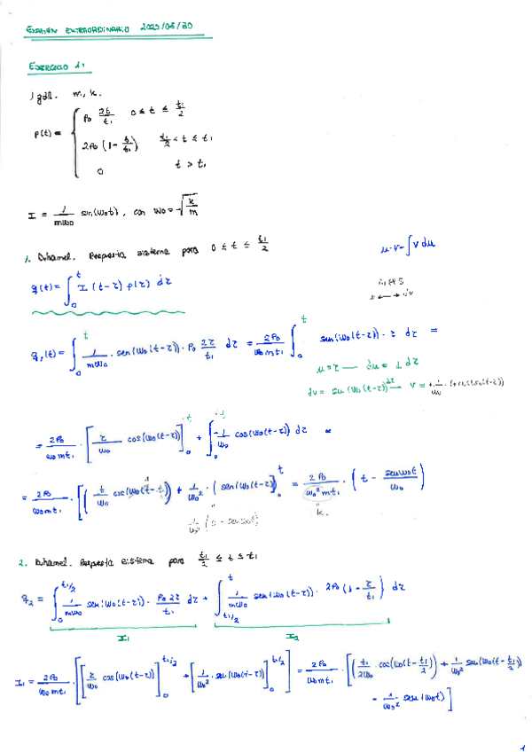
He publicado nuevos apuntes de 3º Vibraciones: EXÁMENES RESUELTOS

EO-20210531.pdf
EXAMEN-EXTRAORDINARIO-24062019.pdf
EXAMEN-EXTRAORDINARIO-20200630.pdf
EXAMEN-EXTRAORDINARIO-20210608.pdf
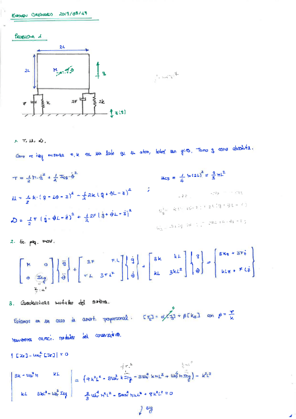
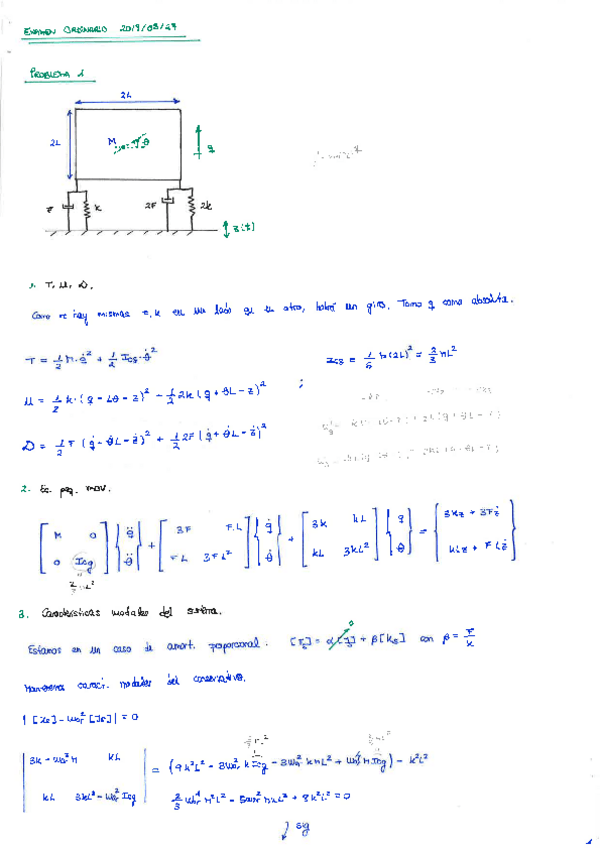
EXAMEN-ORDINARIO-20180528.pdf
EXAMEN-ORDINARIO-20190527.pdf