@AeroRobin

122 Publicaciones

12.84k Interacciones

5 Seguidores

1 Siguiendo

Lista de publicaciones de AeroRobin

apuntes

-

Apuntes SEAe 2022 - 2023

Iré subiendo los apuntes según los vaya haciendo (si es que no me pego un puto tiro con este máster de mierda)

Tema-0-Introduccion.pdf

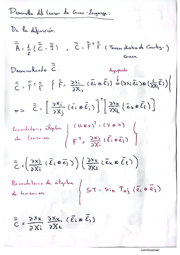
He publicado nuevos apuntes de 1º Cálculo Avanzado de Estructuras: desarrollotensoresgreenalmansi.pdf

4 páginas

He publicado nuevos examenes de 1º Dinámica del Vuelo: Ordinario012022.pdf

2 páginas

He publicado nuevos examenes de 1º Materiales y Producción Avanzados: Ordinario-10-01-2022-fallos-en-servicio.pdf

1 página

He publicado nuevos examenes de 1º Dinámica del Vuelo: Problema-parcial-01-12-2021.pdf

14 páginas

ejercicios

-

Casos Prácticos estabilidad lateral

He publicado nuevos ejercicios de 1º Dinámica del Vuelo: Casos Prácticos estabilidad lateral

CP8e1.pdf
CP7e1.pdf

ejercicios

-

Casos Prácticos estabilidad longitudinal

He publicado nuevos ejercicios de 1º Dinámica del Vuelo: Casos Prácticos estabilidad longitudinal

CPt4e3.pdf
CPt5e1.pdf
CPt4e2.pdf
CPt3e1.pdf
CPt2e1.pdf
CPt2e2.pdf

examenes

-

Problema Ordinario 2020 CTA

He publicado nuevos examenes de 3º Aerorreactores: Problema Ordinario 2020 CTA

solucioncompleta.pdf

examenes

-

Problema Ordinario 2020 CTA

He publicado nuevos examenes de 3º Aerorreactores: Problema Ordinario 2020 CTA

solucioncompleta.pdf

examenes

-

Problema Ordinario 2021 CTA

He publicado nuevos examenes de 3º Aerorreactores: Problema Ordinario 2021 CTA

solucioncompleta.pdf
enunciadoysolucionoficial.pdf

examenes

-

Problema Ordinario 2021 CTA

He publicado nuevos examenes de 3º Aerorreactores: Problema Ordinario 2021 CTA

solucioncompleta.pdf
enunciadoysolucionoficial.pdf

examenes

-

Enunciado ordinario 2013

He publicado nuevos examenes de 3º Mecánica del Vuelo: Enunciado ordinario 2013

photo364534855782999989.jpg
photo364534855782999991.jpg
photo364534855782999990.jpg

examenes

-

Enunciados ordinario 2021

He publicado nuevos examenes de 3º Mecánica del Vuelo: Enunciados ordinario 2021

Enunciado-Ordinario-Actuaciones-CTA.pdf
Enunciado-Ordinario-Estabilidad-CTA.pdf

examenes

-

Recopilación problemas estabilidad

He publicado nuevos examenes de 3º Mecánica del Vuelo: Recopilación problemas estabilidad

Estabilidad-Ordinario-2019-CTA.pdf
Estabilidad-Ordinario-2020-CTA.pdf
Estabilidad-Ordinario-2019-VA.pdf
Estabilidad-Ordinario-2018-CTA.pdf
Estabilidad-Ordinario-2020-VA.pdf
Estabilidad-Ordinario-2015-CTA.pdf

examenes

-

Recopilación problemas actuaciones

He publicado nuevos examenes de 3º Mecánica del Vuelo: Recopilación problemas actuaciones

Actuaciones-Ordinario-2018-CTA.pdf
Actuaciones-Ordinario-2019-CTA.pdf
Actuaciones-Parcial-2020-CTA.pdf
Actuaciones-Parcial-2014-CTA.pdf
Actuaciones-Parcial-2019-CTA.pdf
Actuaciones-Parcial-2018-CTA.pdf