@AerorulayGirl

265 Publicaciones

53.18k Interacciones

73 Seguidores

1 Siguiendo

Lista de publicaciones de AerorulayGirl

He publicado nuevos apuntes de 3º Sistemas de Producción Aeroespacial: RECOPILACION-TEST-SPA.pdf

3 páginas

apuntes

-

TERMO CURSO COMPLETO

He publicado nuevos apuntes de 2º Termodinámica: TERMO CURSO COMPLETO

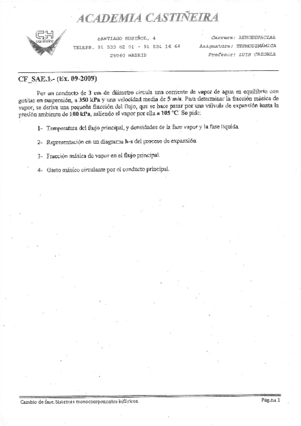
Resolucion-problemas-cambio-de-fase.pdf
Formulario-RTG-y-CF-3oP.pdf
Formulacio-SA-2oP.pdf
Formulario-SC-1oP.pdf
Anadido-teoria-tema-2-y-3.pdf
Problemas-cambio-de-fase.pdf

apuntes

-

ESTADISTICA CURSO COMPLETO

He publicado nuevos apuntes de 2º Estadística: ESTADISTICA CURSO COMPLETO

FormularioEstadistica.pdf
Problemas-propuestos.pdf
Tema1-teoria.pdf
problemas-propuestos-2.pdf
Tema3-Enunciados.pdf
problemas-resueltos-2.pdf