@AGVGN

217 Publicaciones

6.06k Interacciones

2 Seguidores

0 Siguiendo

Lista de publicaciones de AGVGN

He publicado nuevos apuntes de 1º Química I: RESUMEN-FORMULAS-TEORIA.pdf

34 páginas

apuntes

-

EXÁMENES 2019-2020

He publicado nuevos apuntes de 1º Cálculo I: EXÁMENES 2019-2020

PEC1-TIPO-1.pdf
PEC1-TIPO-2.pdf
PEC22solucion.pdf
PEC21solucion.pdf
Problema-2.pdf
Problema-4.pdf

apuntes

-

RUFFO 2019-2020

He publicado nuevos apuntes de 1º Cálculo II: RUFFO 2019-2020

TEMA-2.pdf
TEMA-1.pdf
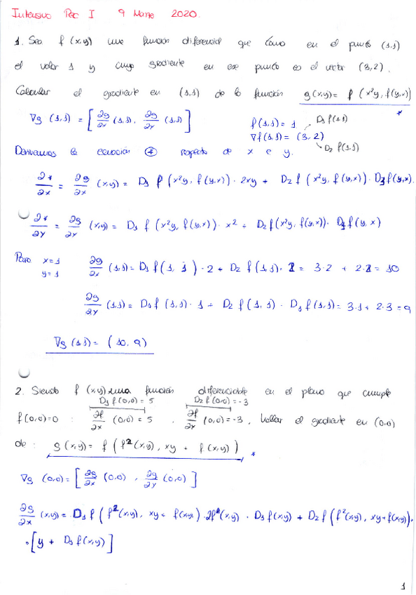
INTENSIVO-PEC-I.pdf
PARTE-2-TEMA-2.pdf
INTENSIVO-FINAL.pdf

He publicado nuevos apuntes de 1º Física General II: Cuestionario-TEMA-7.pdf

30 páginas

apuntes

-

Examen final 2019

He publicado nuevos apuntes de 1º Cálculo II: Examen final 2019

Solucion-ejercicio-1-Mayo-2019.pdf
Solucion-ejercicio-2-Mayo-2019.pdf
Solucion-Ejercicio3Mayo-2019.pdf
solucion-Junio-2020.pdf

apuntes

-

PECS 2019-2020

He publicado nuevos apuntes de 1º Física General II: PECS 2019-2020

Solucion-Pec1.pdf
Soluciones-pec2.pdf

apuntes

-

APUNTES MF LAGUNA

He publicado nuevos apuntes de 1º Física General II: APUNTES MF LAGUNA

TERMODINAMICA-I.pdf
TERMODINAMICA-II.pdf

He publicado nuevos apuntes de 1º Cálculo I: solucion-ejercicios-tema-7.pdf

37 páginas

apuntes

-

Curso Ruffo 2019-2020

He publicado nuevos apuntes de 1º Cálculo I: Curso Ruffo 2019-2020

REPRESENTACION-CURVAS-EXTREMOS-NEWTON-RAPHSON-OPTIMIZACION.pdf
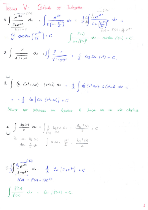
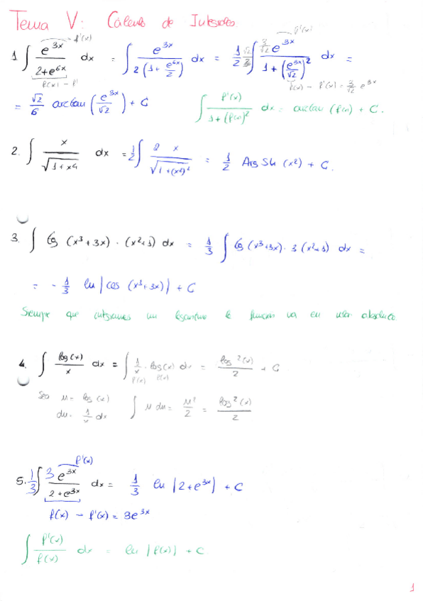
TEMA-5-CALCULO-DE-INTEGRALES.pdf
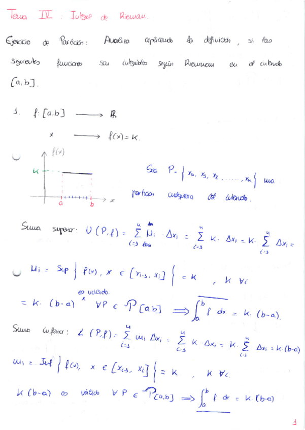
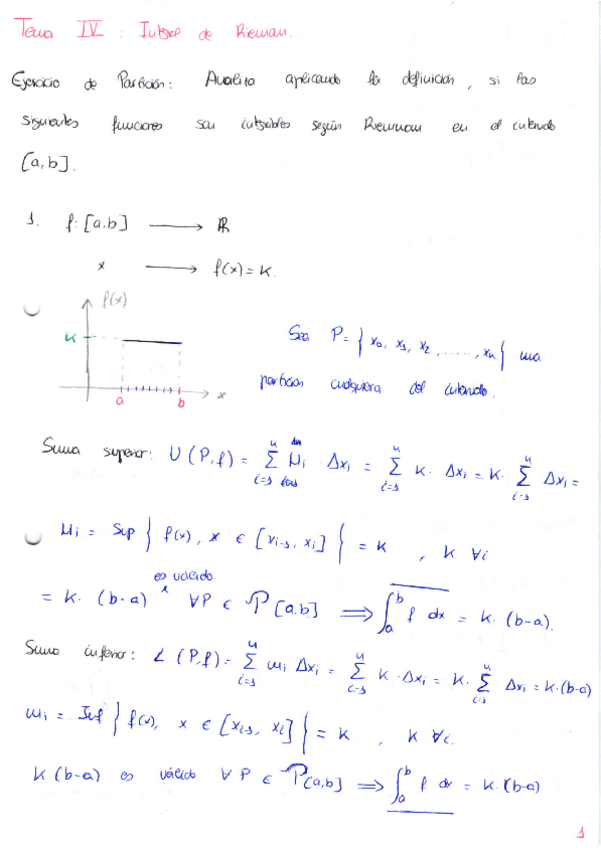
TEMA-4-INTEGRAL-DE-RIEMMAN.pdf
TEMA-6-EDOS.pdf
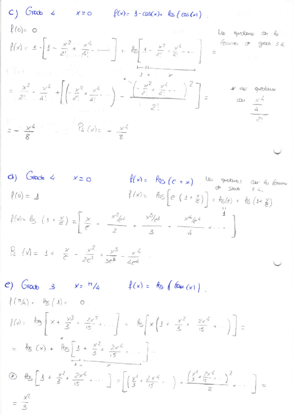
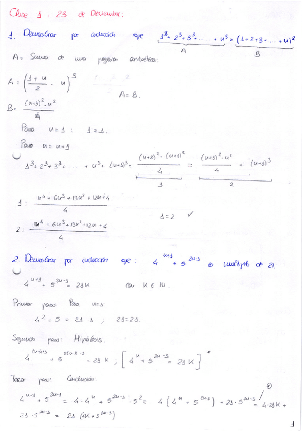
TEMA-7-TAYLOR.pdf
APLICACIONES-GEOMETRICAS-Y-FISICAS.pdf

apuntes

-

INTENSIVO RUFFO 2019-2020

He publicado nuevos apuntes de 1º Cálculo I: INTENSIVO RUFFO 2019-2020

TEORIA-INTENSIVO-CALCULO.pdf
INTENSIVO-FINAL.pdf
INTENSIVO-PEC-I.pdf

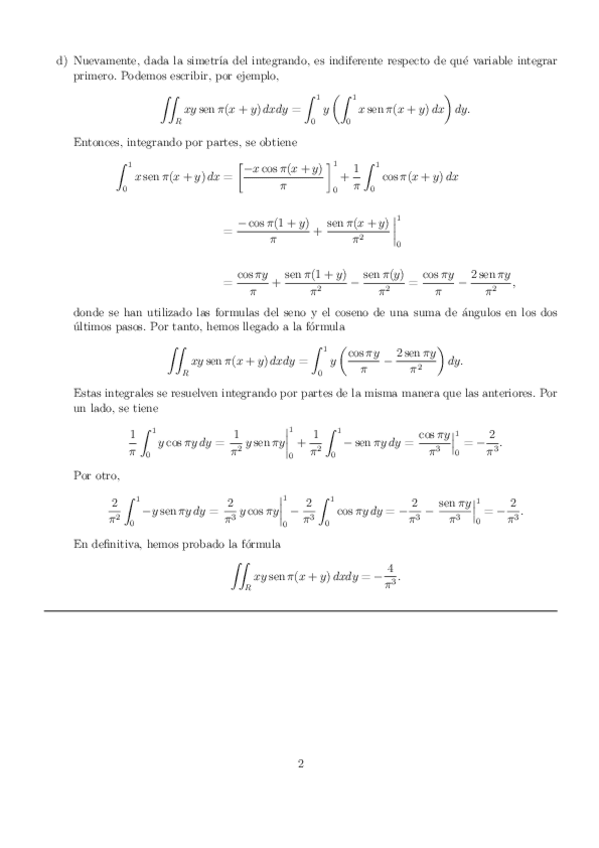
He publicado nuevos apuntes de 1º Cálculo II: Solucion-Ejercicios-de-Integrales-Multiples.pdf

31 páginas

apuntes

-

Pecs curso 2018-19

He publicado nuevos apuntes de 1º Cálculo II: Pecs curso 2018-19

Solucion-Ejercicio3Mayo-2019.pdf
SolucionC2JULIO2019.pdf
Solucion-C2PEC2MAYO2019.pdf
Solucion-ejercicio-1-Mayo-2019.pdf
Solucion-ejercicio-2-Mayo-2019.pdf

apuntes

-

Exámenes Julio

He publicado nuevos apuntes de 1º Álgebra: Exámenes Julio

ALG-2019-julioSOL.pdf
Junio18sol.pdf