@Ai_sanchez

Estudios: Grado en Matemáticas (US) ...Mostrar más

Bio: Profesor de secundaria, Máster en matemáticas y Máster en Educación secundaria y bachillerato

8 Publicaciones

346 Interacciones

2 Seguidores

1 Siguiendo

Lista de publicaciones de Ai_sanchez

Subidas las relaciones 4 y 5 de TP II con los ejercicios resueltos.

Subidas las relaciones 2 y 3 de inferencia con los ejercicios resueltos

ejercicios

-

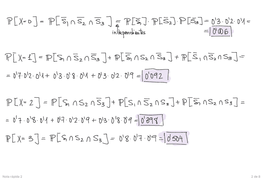
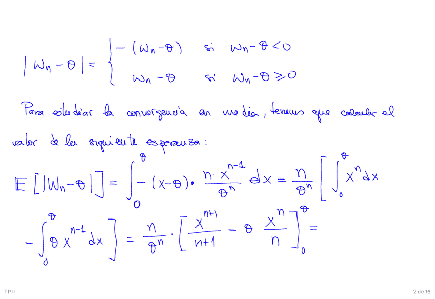
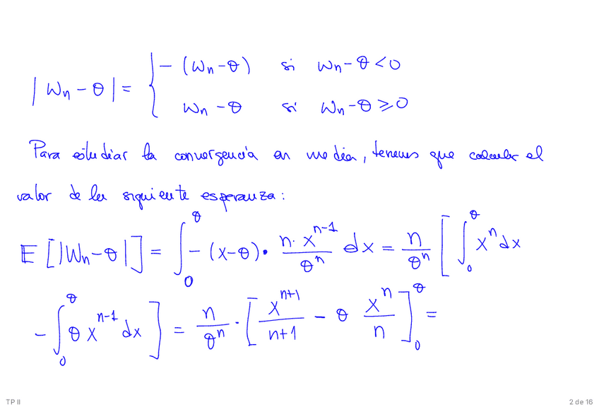
RELACIONES RESUELTAS TP II 2022-23

He publicado nuevos ejercicios de 2º Teoría de la Probabilidad II: RELACIONES RESUELTAS TP II 2022-23

RELACION-No4-TP-II-22-23.pdf
RELACION-No5-TP-II-22-23.pdf

ejercicios

-

RELACIONES RESUELTAS IE 2022-23

He publicado nuevos ejercicios de 2º Inferencia Estadística: RELACIONES RESUELTAS IE 2022-23

RELACION-No2-IE-2022-23.pdf
RELACION-No3-IE-2022-23.pdf

examen resuelto de convocatoria enero de 2020 de cálculo de probabilidades

He publicado nuevos examenes de 1º Cálculo de Probabilidades: EXAMEN-CP-ENERO-2020.pdf

8 páginas

Examen resuelto de Calculo de probabilidades de la tercera convocatoria de 2022

He publicado nuevos examenes de 1º Cálculo de Probabilidades: EXAMEN-CP-3a-CONVOCATORIA-24-11-2022.pdf

7 páginas

He subido el examen resuelto del calculo de probabilidades de septiembre de 2021

He publicado nuevos examenes de 1º Cálculo de Probabilidades: SOLUCION-EXAMEN-CALCULO-DE-PROBABILIDADES-01092021.pdf

9 páginas

He publicado nuevos ejercicios de 2º Teoría de la Probabilidad II: TP-II.pdf

16 páginas