@Aingeru_Fuentes

Estudios: Bachillerato

Bio: Estudiante de Bachillerato en Maristak Bilbao.

13 Publicaciones

109 Interacciones

7 Seguidores

0 Siguiendo

Lista de publicaciones de Aingeru_Fuentes

He publicado nuevos apuntes de 1º Lengua Castellana y Literatura I: Bloque-IV.pdf

6 páginas

He publicado nuevos apuntes de 1º Filosofía: Platon.pdf

3 páginas

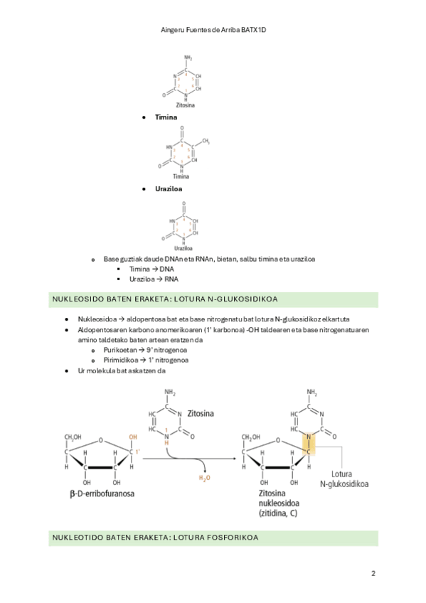
He publicado nuevos apuntes de 1º Biología I: Azido-nukleikoak.pdf

11 páginas

Bakarrik Sofisten teoria dago oraindik

4 páginas

He publicado nuevos apuntes de 1º Biología, Geología y Ciencias Ambientales: Gluzidoak.pdf

13 páginas

Biologiako lehenengo eta bigarren gaietako terminoen definizioen glosarioa

1 página

He publicado nuevos apuntes de 1º Lengua Castellana y Literatura I: Bloque-II-Barroco-Neoclasicismo-y-Romanticismo.pdf

12 páginas

He publicado nuevos apuntes de 1º Biología, Geología y Ciencias Ambientales: Bizitzaren-Oinarri-Molekularra.pdf

9 páginas

He publicado nuevos apuntes de 1º Filosofía: Sokrates-aurreko-filosofia.pdf

5 páginas

He publicado nuevos apuntes de 1º Filosofía: Pentsamolde-arkaikoa.-Mitoak.pdf

2 páginas

He publicado nuevos apuntes de 1º Biología, Geología y Ciencias Ambientales: Geosferaren-egitura-konposizioa-eta-dinamika.pdf

16 páginas

He publicado nuevos apuntes de 4º Lengua Castellana y Literatura: Naturalismo-y-Realismo.pdf

6 páginas

He publicado nuevos apuntes de 4º Ciencias sociales, geografía e historia: Bigarren-Errepublika-eta-Gerra-Zibila.pdf

7 páginas