@ainoapal

Estudios: Grado en Ingeniería Informática (UPV) ...Mostrar más

216 Publicaciones

11.59k Interacciones

15 Seguidores

0 Siguiendo

Lista de publicaciones de ainoapal

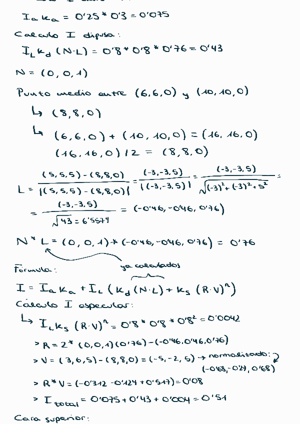
He publicado nuevos examenes de 3º Sistemas de almacenamiento y recuperación de información: SAR-ExamenesP2.pdf

18 páginas

apuntes

-

AIN_Teoria

He publicado nuevos apuntes de 3º Agentes inteligentes: AIN_Teoria

AINTema7.pdf

He publicado nuevos examenes de 3º Agentes inteligentes: AINExamenes.pdf

23 páginas

examenes

-

Exámenes

He publicado nuevos examenes de 4º Lenguajes de programación y procesadores de lenguajes: Exámenes

LPPLexams.pdf
LPPLFinal2007230501225535.pdf
lpypl-1p-2021-22-sol230501224352.pdf

apuntes

-

Teoría

He publicado nuevos apuntes de 3º Sistemas de almacenamiento y recuperación de información: Teoría

SARTema4.pdf
SARTema3.pdf
SARTema2.pdf
SARTema1.pdf
SARTema5.pdf

examenes

-

Exámenes

He publicado nuevos examenes de 3º Sistemas de almacenamiento y recuperación de información: Exámenes

SAR-Acto12021.pdf
SAR-Acto1RECU2021.pdf
SAR-Acto1RECU2022.pdf
SAR-Acto12022.pdf

He publicado nuevos examenes de 3º Sistemas de almacenamiento y recuperación de información: SARExamenes.pdf

19 páginas

He publicado nuevos practicas de 4º Algorítmica: Memoria-Proyecto-SAR-ALT.pdf

6 páginas

He publicado nuevos practicas de 3º Bases de datos y sistemas de información: Proyecto-BDA.pdf

9 páginas

He publicado nuevos apuntes de 3º Bases de datos y sistemas de información: BDA230131.pdf

12 páginas

He publicado nuevos apuntes de 4º Técnicas, entornos y aplicaciones de inteligencia artificial: TIA230213.pdf

12 páginas

He publicado nuevos apuntes de 4º Introducción a los sistemas gráficos interactivos: SGI230213.pdf

31 páginas

He publicado nuevos apuntes de 4º Lenguajes de programación y procesadores de lenguajes: LPPL230213.pdf

28 páginas

He publicado nuevos ejercicios de 4º Algorítmica: ALT230203.pdf

31 páginas

He publicado nuevos ejercicios de 4º Aprendizaje Automático: EjerciciosPuntuablesapalper.pdf

3 páginas

He publicado nuevos apuntes de 4º Aprendizaje Automático: APRapalper.pdf

25 páginas

Preguntas examen teoría 13/01/2023

3 páginas

Ejercicios resueltos de toda la asignatura

29 páginas

apuntes

-

Apuntes

Parcial 1

Parcial-1.pdf
Tema-2.pdf
Pract-2.pdf
Parcial-2.pdf
Tema-1.pdf

examenes

-

Exámenes y ejercicios resueltos

He publicado nuevos examenes de 3º Arquitectura e ingeniería de computadores: Exámenes y ejercicios resueltos

prep-recu.pdf
prep-parcial-2.pdf
prep-parcial-1.pdf
ejercicio-modelo-resuelto.pdf
ejercicios-tema-3-resueltos.pdf
parcial-2-B-cas-sol.pdf