@AJcromo1813

9 Publicaciones

1.34k Interacciones

0 Seguidores

0 Siguiendo

Lista de publicaciones de AJcromo1813

He publicado nuevos practicas de 4º Marketing en Áreas Especializadas: caso-2.docx

word

He publicado nuevos practicas de 4º Marketing en Áreas Especializadas: caso-1.docx

word

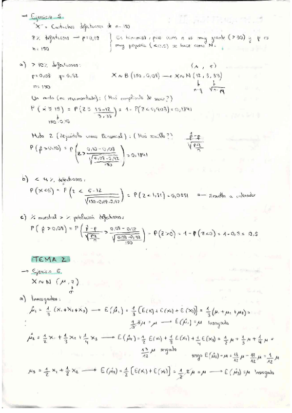
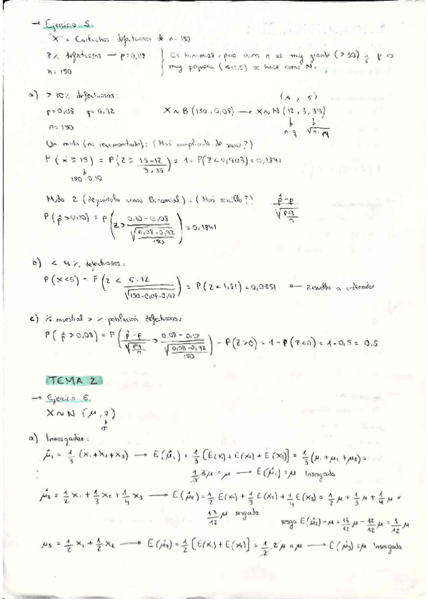
He publicado nuevos ejercicios de 2º Estadística II: bloque1 ejercicios resueltos.pdf

7 páginas

He publicado nuevos ejercicios de 2º Dirección de la Producción y Operaciones: dpo formulas.pdf

4 páginas