@aka_natalia

Estudios: Grado en Ingeniería Telemática (UMA) ...Mostrar más

48 Publicaciones

1.56k Interacciones

4 Seguidores

0 Siguiendo

Lista de publicaciones de aka_natalia

He publicado nuevos apuntes de 3º Comunicaciones Digitales: Ejercicios-Rel.General-y-Examen-Campus-2223-RESUELTOS.pdf

29 páginas

He publicado nuevos apuntes de 3º Transmisión de Información Multimedia: Ejercicios-resueltos.pdf

10 páginas

He publicado nuevos apuntes de 3º Transmisión de Información Multimedia: Ejercicios-resueltos.pdf

10 páginas

He publicado nuevos apuntes de 3º Transmisión de Información Multimedia: P4-Resuelta.one

Miniatura no disponible

He publicado nuevos apuntes de 3º Transmisión de Información Multimedia: P3-Resuelta.one

Miniatura no disponible

He publicado nuevos apuntes de 3º Transmisión de Información Multimedia: P2-Resuelta.one

Miniatura no disponible

He publicado nuevos apuntes de 3º Transmisión de Información Multimedia: P1-Resuelta.one

Miniatura no disponible

He publicado nuevos apuntes de 2º Sistemas de Comunicaciones: Ejers-de-Examenes.pdf

15 páginas

He publicado nuevos apuntes de 2º Sistemas de Comunicaciones: Ejers-TEMA-3.pdf

4 páginas

He publicado nuevos apuntes de 2º Sistemas de Comunicaciones: Teoria--Ejers-TEMA-2.pdf

12 páginas

He publicado nuevos apuntes de 2º Sistemas de Comunicaciones: Teoria--Ejers-TEMA-1.pdf

10 páginas

He publicado nuevos apuntes de 2º Sistemas de Comunicaciones: Practicas-1-y-2.pdf

10 páginas

He publicado nuevos apuntes de 2º Ecuaciones Diferenciales: Ejers Temas 1-2-3.pdf

4 páginas

He publicado nuevos apuntes de 2º Ecuaciones Diferenciales: Ejers Transf. Inversa Laplace-POR PASOS.pdf

8 páginas

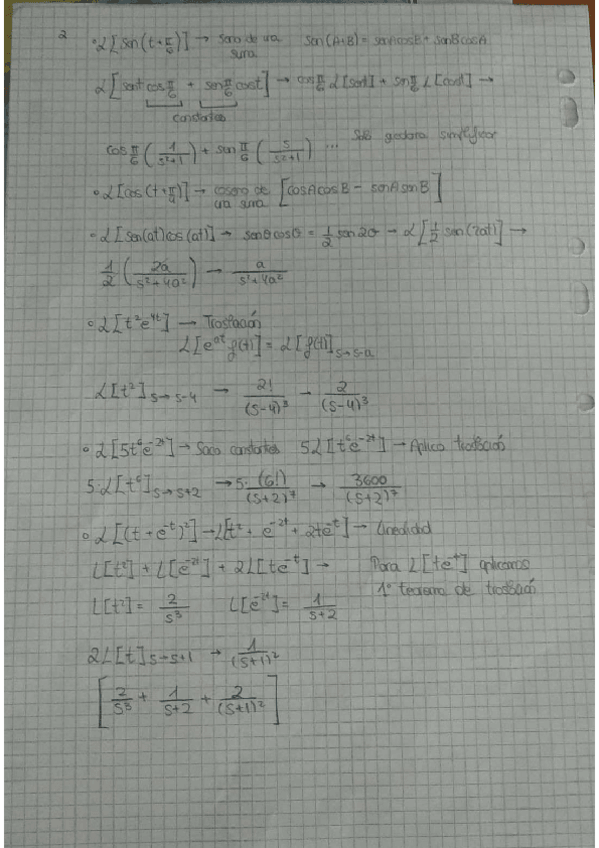
He publicado nuevos apuntes de 2º Ecuaciones Diferenciales: Ejers Transformada Laplace-POR PASOS.pdf

8 páginas

He publicado nuevos apuntes de 2º Ecuaciones Diferenciales: Series de Fourier POR PASOS-relacion T1.pdf

18 páginas

He publicado nuevos apuntes de 2º Redes y Servicios de Telecomunicación 1: Algunos ejercicios T1 POR PASOS.pdf

5 páginas

He publicado nuevos apuntes de 2º Redes y Servicios de Telecomunicación 1: Relacion T4 POR PASOS.pdf

9 páginas

He publicado nuevos apuntes de 2º Fundamentos de Electrónica Analógica y de Potencia: Cuestiones breves-PEQUEÑA SEÑAL.pdf

4 páginas

He publicado nuevos apuntes de 2º Fundamentos de Electrónica Analógica y de Potencia: Cuestiones breves-TRANSISTORES.pdf

5 páginas