@al_guerra04

Bio: soy NEAE, me gusta tener la información a un golpe de vista, la biodiversidad y la biología evolutiva // Tengo MH en BioEvo, Genética I y Mates :)

84 Publicaciones

782 Interacciones

14 Seguidores

2 Siguiendo

Lista de publicaciones de al_guerra04

apuntes

-

resúmenes genética II

He publicado nuevos apuntes de 2º Genética II: De la secuencia a la función: resúmenes genética II

t5genII.pdf
t1genII.pdf
t2genII.pdf

He publicado nuevos apuntes de 2º Biodiversidad y Conservación de Espermatófitos: taxonomia-espermatofitos.pdf

3 páginas

apuntes

-

Esquemas bioquímica Miguel

He publicado nuevos apuntes de 2º Bioquímica I: Estructura y función de biomoléculas: Esquemas bioquímica Miguel

t5bq.pdf
t9bq.pdf
t8bq.pdf
t7bq.pdf
t6bq.pdf

apuntes

-

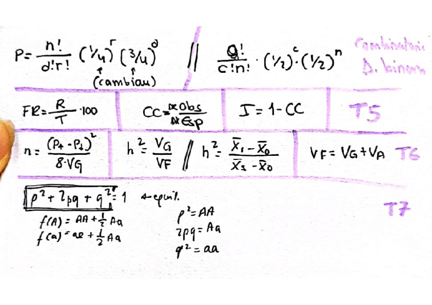
Formularios/prácticas Genética I

Procedimientos y ejercicios + formulario

problemas-para-practicar-para-examen-de-paqui.pdf
Procedimiento-problemas-t1-5-ma.pdf
formulario-problemas.pdf

apuntes

-

Esquemas botánica criptogámica

He publicado nuevos apuntes de 2º Botánica Criptogámica: Esquemas botánica criptogámica

T1-bot.pdf
T2-bot.pdf
T4-bot.pdf
T3-bot.pdf
T5-bot.pdf
T6-P1.pdf

apuntes

-

Esquemas/Resumen Genética I (muy completos))

Esquemas hechos entre los apuntes de clase, diapositivas y libro (Pierce 5ta ed), saqué MH

Resumen-T2-genetica.pdf
Resumen-T1-genetica.pdf
genI-t3-resumen.pdf
T4-genI-ma.pdf
T5-genI-ma.pdf
genI-t7-ma.pdf

apuntes

-

Esquemas medio natural

He publicado nuevos apuntes de 1º Métodos Para el Estudio del Medio Natural: Esquemas medio natural

T1.-ORGANIZACION-DEL-MEDIO-NATURAL.pdf
T2.-PROTECCION-DE-LA-NATURALEZA.pdf
T3.-CARTOGRAFIA.pdf
T4.-BASES-MUESTREO.pdf
T5.-CARACTERIZACION-ABIOTICA.pdf
T6.-METODOS-MUESTREO.pdf