@Alba17mu

5 Publicaciones

158 Interacciones

2 Seguidores

0 Siguiendo

Lista de publicaciones de Alba17mu

He publicado nuevos apuntes de 2º Cálculo diferencial aplicado: Tema-3--Transformada-de-Laplace.pdf

2 páginas

He publicado nuevos apuntes de 2º Cálculo diferencial aplicado: Tema-2--Edo-Segundo-Orden.pdf

3 páginas

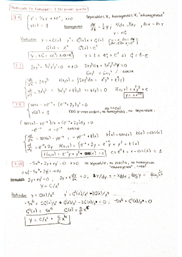
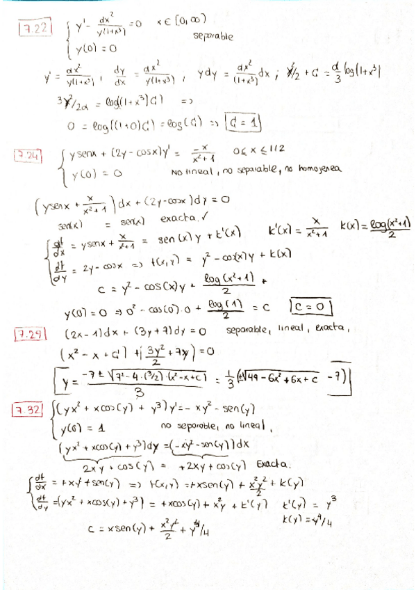
He publicado nuevos examenes de 2º Cálculo diferencial aplicado: Ejercicios-de-examen-EDO-primer-orden.pdf

8 páginas

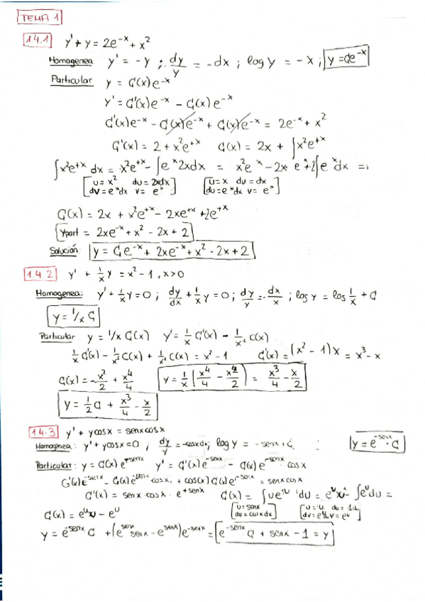
He publicado nuevos ejercicios de 2º Cálculo diferencial aplicado: Tema-1-Ejercicios-EDO-primer-orden--Primer-examen-parcial.pdf

4 páginas

He publicado nuevos apuntes de 2º Cálculo diferencial aplicado: Tema-1-Apuntes-teoria-EDO-primer-orden--Primer-examen-parcial.pdf

4 páginas