@Alba73im_art

Estudios: Grado en Ingeniería Multimedia (UA) ...Mostrar más

Bio: una jugadora más del vj llamado "UA" :]

30 Publicaciones

85 Interacciones

2 Seguidores

4 Siguiendo

Lista de publicaciones de Alba73im_art

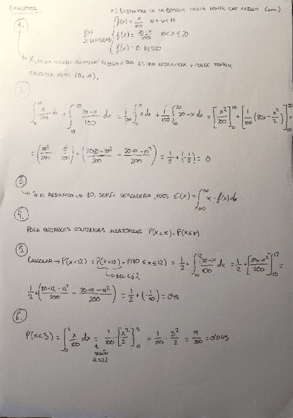
Tipos de ejercicios que pueden caer en el examen y cómo resolverlos.

4 páginas

Tipos de ejercicios que pueden caer en el examen y cómo resolverlos.

5 páginas

Tipos de ejercicios que pueden caer en el examen y cómo resolverlos.

23 páginas

Apuntes de las primeras clases de Estructuración de Datos y Algoritmia.

21 páginas

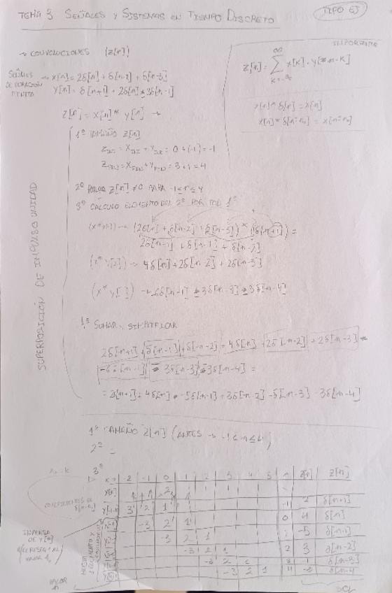
Apuntes y ejercicios en sucio de las primeras clases de Sistemas Operativos.

26 páginas

Tipos de ejercicios que pueden caer en el examen y cómo resolverlos.

28 páginas

Apuntes para estudiar la convocatoria 3 (Junio) de FBD y recuperación de la misma (Con reglas memotecnicas)

3 páginas

Apuntes para usar en el examen de SQL-A Nota -> 16/25

5 páginas

la ultima hoja esta mal escaneada, si no consigues ver lo que hay, escríbeme al ig y te la paso bien

5 páginas

He publicado nuevos apuntes de 1º Estadística: ResumenesT6al8Estadistica2425-Alba73imart.pdf

5 páginas

He publicado nuevos apuntes de 1º Estadística: ResumenesT4y5Estadistica2425-Alba73imart.pdf

5 páginas

He publicado nuevos ejercicios de 1º Estadística: EjerciciosT4y5Estadistica2425-Alba73imart.pdf

7 páginas

He publicado nuevos ejercicios de 1º Estadística: Ejercicios3y4EstadisticaT52425-Alba73imart.pdf

2 páginas

He publicado nuevos ejercicios de 1º Estadística: AlgunosEjerciciosTemasdel6al8Estadistica2425-Alba73imart.pdf

3 páginas

He publicado nuevos ejercicios de 1º Estadística: Actividadvoluntaria2425EstadisticaT5-Alba73imart.pdf

2 páginas

2025

Miniatura no disponible
zip

Nota -> 3 (no corregí una cosa :-:) 2025

10 páginas