@albalg2

70 Publicaciones

4.02k Interacciones

1 Seguidores

0 Siguiendo

Lista de publicaciones de albalg2

examenes

-

Exam

He publicado nuevos examenes de 3º Modelos Matemáticos II: Exam

sol2015.pdf
ex2017.pdf
sol2014.pdf
ex20132.pdf
ex2016.pdf
sol2016.pdf

examenes

-

Exa

He publicado nuevos examenes de 3º Variable Compleja I: Exa

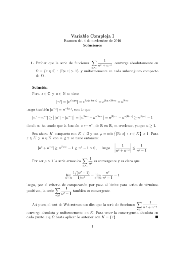
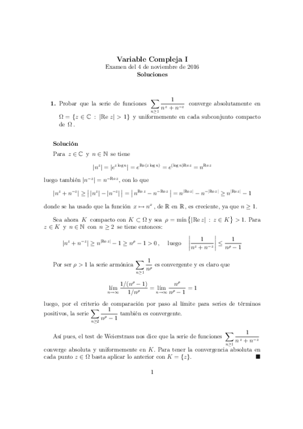
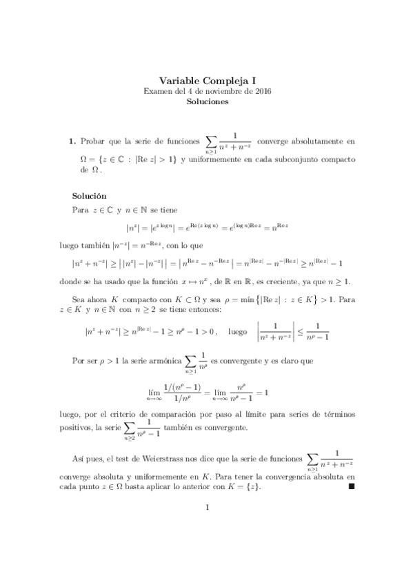
SOLVCNOV2016.pdf
sol20164.pdf
Solu20162.pdf
sol20163.pdf
sol2015.pdf
sol2017.pdf

ejercicios

-

Ejer_res

He publicado nuevos ejercicios de 2º Análisis Matemático I: Ejer_res

Resueltos3.pdf
Resueltos2.pdf
Resueltos1.pdf

examenes

-

Ex15/16/18

He publicado nuevos examenes de 2º Análisis Matemático I: Ex15/16/18

SOLAnIDIC2016.pdf
soluciones-p1-2017-AN-I.pdf
SOLAnINOV2015.pdf

examenes

-

exam

He publicado nuevos examenes de 2º Análisis Matemático II: exam

soluciones-p1-2017-AN-I.pdf
SOLAnIDIC2016.pdf
SOLAnINOV2015.pdf
SOLAnINOV2015.pdf
SOLAnIENE17.pdf
SOLAnIDIC2016.pdf

ejercicios

-

ejerresueltos

He publicado nuevos ejercicios de 2º Análisis Matemático II: ejerresueltos

Resueltos1.pdf
Resueltos2.pdf
Resueltos3.pdf

He publicado nuevos examenes de 2º Curvas y Superficies: juniosol.pdf

3 páginas

examenes

-

Exam2016

He publicado nuevos examenes de 2º Ecuaciones Diferenciales I: Exam2016

Exam2016.pdf
ED1Ex2016a.pdf
ED1ExF2016.pdf

examenes

-

Exam2015

He publicado nuevos examenes de 2º Geometría III: Exam2015

examenparcialsoluciones.pdf
ei-2015-16soluciones.pdf

examenes

-

Examenes

He publicado nuevos examenes de 2º Topología I: Examenes

examen-tema3.pdf
examen-sep-13.pdf
examen-final.pdf
examen-tema1.pdf
examen-tema2.pdf
examen-febrero-13.pdf