@albertomench_

Estudios: Grado en Finanzas y Contabilidad (UC3M) ...Mostrar más

93 Publicaciones

1.19k Interacciones

1 Seguidores

0 Siguiendo

Lista de publicaciones de albertomench_

examenes

-

EXAMENES FICHEROS Y BBDD

He publicado nuevos examenes de 2º Ficheros y Bases de Datos: EXAMENES FICHEROS Y BBDD

EXAMENESTESTBBDDCONRESPUESTA.pdf
EXAMENESTESTBBDDCONRESPUESTA.pdf
EXAMENESTESTBBDDSINRESPUESTAS.pdf
EXAMENESTESTBBDDSINRESPUESTAS.pdf

He publicado nuevos apuntes de 1º Matemática Discreta: Mates-Discreta-Apuntes-y-Ejercicios.pdf

70 páginas

He publicado nuevos apuntes de 1º Tecnología de Computadores: APUNTES-TECNOLOGIA-DE-COMPUTADORES.pdf

32 páginas

ejercicios

-

Ejercicios Física

He publicado nuevos ejercicios de 1º Física: Ejercicios Física

Ejercicio-10-Tema-7.pdf
Ejercicio-10-Tema-7.pdf
ejercicio-7-tema-9.pdf
ejercicio-7-tema-9.pdf
Ejercicios-4-9y-masresueltos-tema-9.pdf
Ejercicios-4-9y-masresueltos-tema-9.pdf

He publicado nuevos apuntes de 1º Física: Fisica-APUNTES-Y-EJERCICIOS-TODO-EL-ANO.pdf

46 páginas

He publicado nuevos apuntes de 1º Álgebra Lineal: APUNTES-Y-EJERCICIOS-TODO-EL-ANO-Algebra-Lineal.pdf

56 páginas

He publicado nuevos apuntes de 1º Cálculo: APUNTES-Y-EJERCICIOS-TODO-EL-CURSO-CALCULO-I.pdf

52 páginas

ejercicios

-

APUNTES, EJERCICIOS Y MATERIAL HECHOS POR EL COORDINADOR DE CÁLCULO

He publicado nuevos ejercicios de 1º Cálculo: APUNTES, EJERCICIOS Y MATERIAL HECHOS POR EL COORDINADOR DE CÁLCULO

Miniatura no disponible
apuntes-a-mano-profesor.zip
Miniatura no disponible
apuntes-a-mano-profesor.zip
Miniatura no disponible
apuntes-ejercicios-y-material-del-coordinador-de-calculo.zip
Miniatura no disponible
apuntes-ejercicios-y-material-del-coordinador-de-calculo.zip
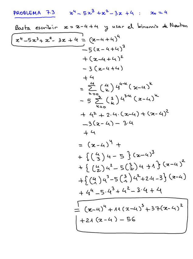
7.3.pdf
7.3.pdf