@AlbertooUPC

Estudios: Grado en Ingeniería Eléctrica (UPC) ...Mostrar más

Bio: Estudiante de la Universidad Politécnica de Catalunya

183 Publicaciones

1.04k Interacciones

7 Seguidores

0 Siguiendo

Lista de publicaciones de AlbertooUPC

He publicado nuevos trabajos de 3º Enginyeria de la Reacció Química: Modelo-estequiometrico-2.pdf

3 páginas

He publicado nuevos trabajos de 3º Enginyeria de la Reacció Química: Modelo-estequiometrico-1.pdf

3 páginas

He publicado nuevos apuntes de 3º Operacions Bàsiques I: T3Transmissio-de-Calor.pdf

48 páginas

He publicado nuevos apuntes de 3º Operacions Bàsiques I: Ejercicios.pdf

64 páginas

He publicado nuevos apuntes de 3º Operacions Bàsiques I: T1Introduccion.pdf

24 páginas

He publicado nuevos apuntes de 2º Sistemes Electrònics: apuntestema4STIv00.pdf

28 páginas

He publicado nuevos examenes de 2º Sistemes Electrònics: T3.pdf

2 páginas

He publicado nuevos apuntes de 2º Sistemes Electrònics: Tema4STIv0.pdf

18 páginas

He publicado nuevos apuntes de 2º Sistemes Electrònics: BIESTABLES.pdf

1 página

He publicado nuevos examenes de 2º Sistemes Electrònics: PAC2.pdf

42 páginas

He publicado nuevos apuntes de 2º Química Orgánica: Preparacion-examen.pdf

26 páginas

He publicado nuevos apuntes de 2º Química Orgánica: Preparacion-examen-2.pdf

41 páginas

He publicado nuevos apuntes de 2º Química Orgánica: preparacion-examen.pdf

31 páginas

He publicado nuevos apuntes de 2º Química Orgánica: formulari-de-totes-les-reaccions-2.pdf

14 páginas

He publicado nuevos apuntes de 2º Química Orgánica: QOQ-4-1.pdf

39 páginas

He publicado nuevos apuntes de 2º Química Orgánica: Tema-3-Hidrocarburs-II-Alquens-i-alquinsEEBETardor17-1.pdf

56 páginas

practicas

-

Pack entregas electric 22

He publicado nuevos practicas de 3º Procesado de Imágenes Biomédicas: Pack entregas electric 22

pemm-teoria.pdf
EjerciciosClase-1.pdf
1.pdf

ejercicios

-

Señales biomédicas ejercicios resueltos

He publicado nuevos ejercicios de 3º Procesado de Señales Biomédicas: Señales biomédicas ejercicios resueltos

INFORME-FINAL-DEL-PROYECTO.pdf
Laboratorio-1-psb.pdf
EntregablePractica4MinervaEkatherina.pdf

ejercicios

-

Experimentacion 22 ejercicios faciles

He publicado nuevos ejercicios de 3º Experimentació Química: Experimentacion 22 ejercicios faciles

TEMA-VI-Problemes.pdf
TEMA-III-problemes.pdf
TEMA-VII-Problemes.pdf
TEMA-IV-Problemes.pdf
TEMA-V-Problemes.pdf
TEMA-II-Problemes.pdf

apuntes

-

Parciales Organica Quim 2022

He publicado nuevos apuntes de 2º Química Orgánica: Parciales Organica Quim 2022

T2ParcialOctubre2016Quimica.pdf
T1ParcialOctubre2017.pdf
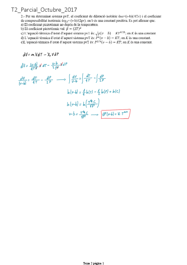
T2ParcialOctubre2017.pdf
T4ParcialOctubre2016Quimica.pdf
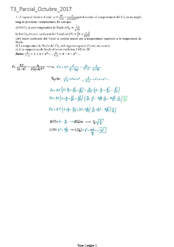
T3PracialOctubre2017.pdf
ProblemaParcialOctubre2016Quimica.pdf