@albi_21

Estudios: Grado en Estadística (UGR) ...Mostrar más

138 Publicaciones

7.68k Interacciones

7 Seguidores

0 Siguiendo

Lista de publicaciones de albi_21

He publicado nuevos examenes de 3º Series Temporales: Examenes-resueltos.pdf

24 páginas

He publicado nuevos examenes de 3º Series Temporales: Examen-24-resuelto.pdf

5 páginas

He publicado nuevos examenes de 3º Series Temporales: Examen-2324-resuelto.pdf

5 páginas

He publicado nuevos examenes de 3º Análisis Multivariante: TeoriaFinal20210201.pdf

1 página

He publicado nuevos examenes de 3º Análisis Multivariante: ProblemasTeoriaFinal20210201.pdf

1 página

He publicado nuevos apuntes de 2º Estadística Computacional I: RESUMEN-2-DE-R.pdf

3 páginas

He publicado nuevos apuntes de 2º Estadística Computacional I: GRAFICOS-EN-R.pdf

22 páginas

He publicado nuevos apuntes de 2º Estadística Computacional I: RESUMEN-1-DE-R.pdf

3 páginas

He publicado nuevos ejercicios de 2º Investigación Operativa I: Practicas-i.o.pdf

48 páginas

He publicado nuevos apuntes de 2º Investigación Operativa I: Demostraciones-T3.pdf

3 páginas

He publicado nuevos examenes de 2º Teoría de la Probabilidad: Ejercicios-examenes-teoria.pdf

1 página

He publicado nuevos apuntes de 2º Inferència Estadística I: Inferencia-apuntes-de-clase.pdf

81 páginas

He publicado nuevos apuntes de 2º Probabilidad: Preguntas-teoria-final-probabilidad.pdf

1 página

He publicado nuevos examenes de 2º Inferència Estadística I: Examen-febrero-2023-resuelto.pdf

10 páginas

examenes

-

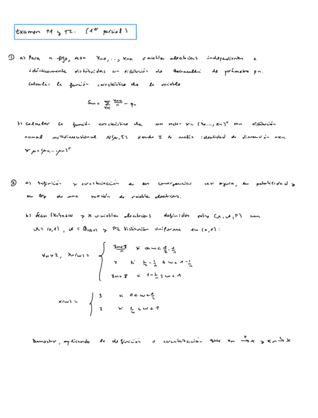
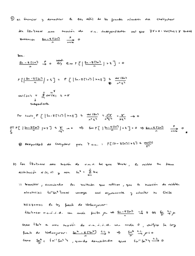
Parciales resueltos 23/24

He publicado nuevos examenes de 2º Teoría de la Probabilidad: Parciales resueltos 23/24

Segundo-parcial.pdf
Primer-parcial.pdf

He publicado nuevos apuntes de 2º Teoría de la Probabilidad: RESUMEN-DE-CONVERGENCIAS.pdf

2 páginas

He publicado nuevos apuntes de 1º Álgebra I: Preguntas-teoricas-algebra-I-final.pdf

22 páginas

He publicado nuevos examenes de 1º Álgebra I: Parcial-resuelto.pdf

2 páginas

He publicado nuevos examenes de 1º Álgebra I: Solucion-examen-enero-2022.pdf

2 páginas

He publicado nuevos apuntes de 2º Modelos Matemáticos I: Modelos-T3.pdf

20 páginas