@Ale_Rivera
2 Publicaciones
218 Interacciones
3 Seguidores
4 Siguiendo
Lista de publicaciones de Ale_Rivera
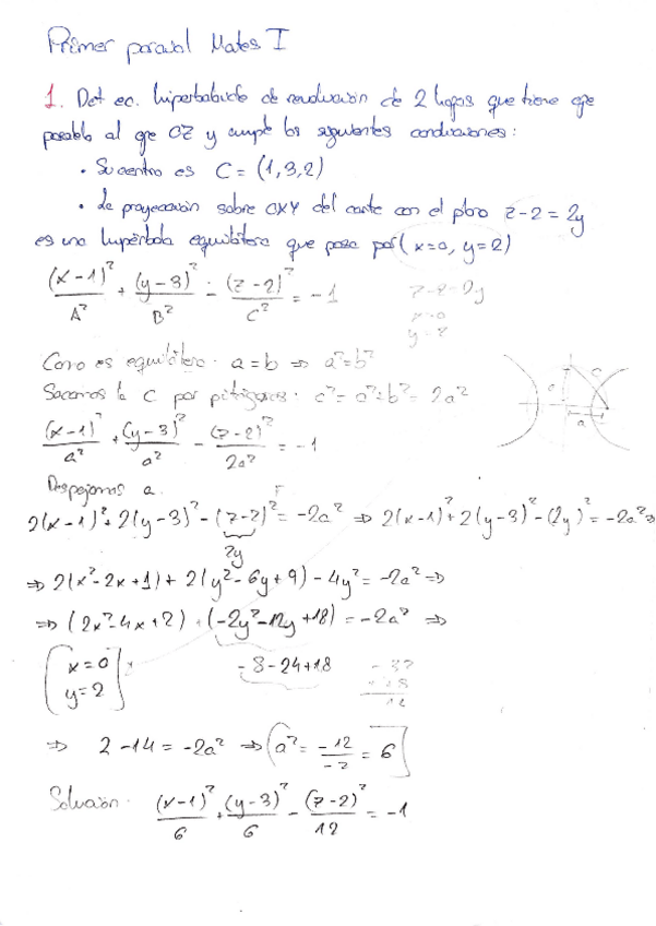
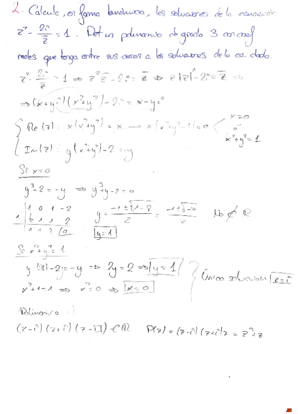
He publicado nuevos examenes de 1º Matemáticas I: PRIMER-PARCIAL-MATES-1-2019-2020-Aeroespacial.pdf
2 Publicaciones
218 Interacciones
3 Seguidores
4 Siguiendo
He publicado nuevos examenes de 1º Matemáticas I: PRIMER-PARCIAL-MATES-1-2019-2020-Aeroespacial.pdf