@AleSilvestre1

14 Publicaciones

1.14k Interacciones

0 Seguidores

2 Siguiendo

Lista de publicaciones de AleSilvestre1

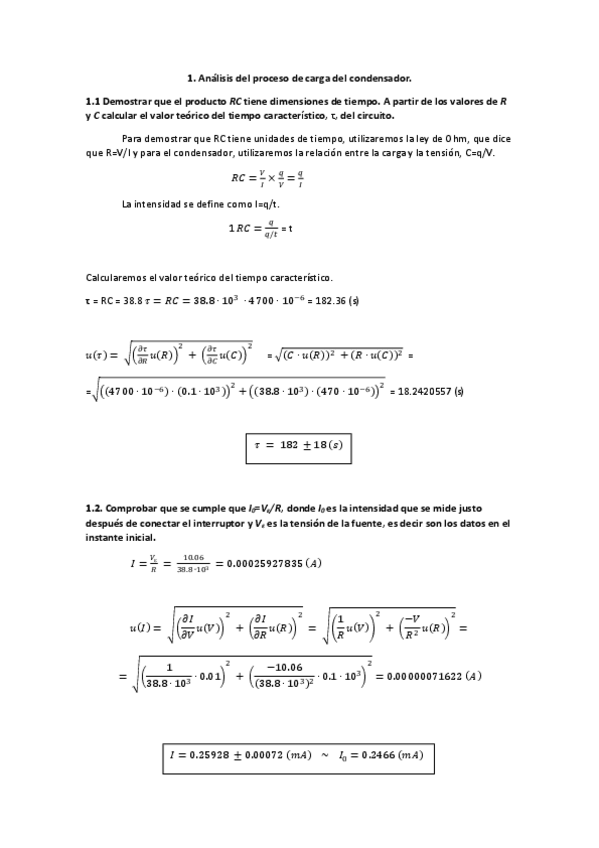
He publicado nuevos practicas de 1º Física II: Practica-2-carga-y-descarga-del-condensador.pdf

pdf

He publicado nuevos practicas de 1º Física II: Practica-4-induccion-electromagnetica.pdf

pdf

practicas

-

Práctica 6 resuelta (estructuras)

He publicado nuevos practicas de 1º Informática: Práctica 6 resuelta (estructuras)

p6estructuras.pdf
p6estructuras.pdf
Practica-6.rar
Practica-6.rar

practicas

-

Práctica 5 resuelta (vectores)

He publicado nuevos practicas de 1º Informática: Práctica 5 resuelta (vectores)

Practica-5-wuolah.rar
Practica-5-wuolah.rar
p5vectores.pdf
p5vectores.pdf

practicas

-

Práctica 1 resuelta (entorno zinjai)

He publicado nuevos practicas de 1º Informática: Práctica 1 resuelta (entorno zinjai)

Practica-1.rar
Practica-1.rar
p1entornozinjai.pdf
p1entornozinjai.pdf

practicas

-

Práctica 4 resuelta (funciones)

He publicado nuevos practicas de 1º Informática: Práctica 4 resuelta (funciones)

Practica-4.rar
Practica-4.rar
p4funciones.pdf
p4funciones.pdf

practicas

-

Práctica 3 resuelta (bucles)

He publicado nuevos practicas de 1º Informática: Práctica 3 resuelta (bucles)

Practica-3.rar
Practica-3.rar
p3bucles.pdf
p3bucles.pdf

practicas

-

Práctica 2 resuelta (toma de decisiones)

He publicado nuevos practicas de 1º Informática: Práctica 2 resuelta (toma de decisiones)

p2tomadedecisiones.pdf
p2tomadedecisiones.pdf
Practica-2.rar
Practica-2.rar