@AlexMarfilC

Estudios: Grado en Ingeniería Civil (US) ...Mostrar más

6 Publicaciones

371 Interacciones

1 Seguidores

0 Siguiendo

Lista de publicaciones de AlexMarfilC

apuntes

-

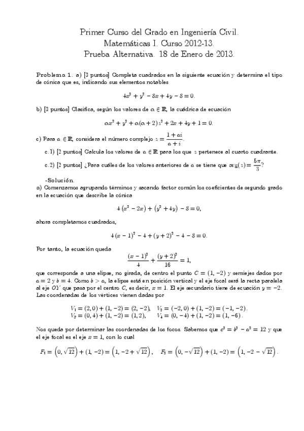
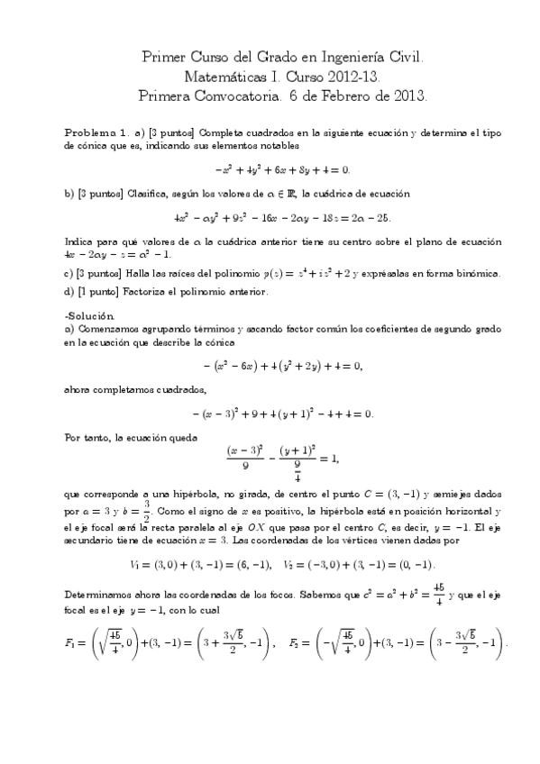
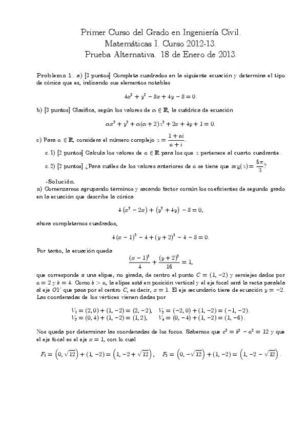
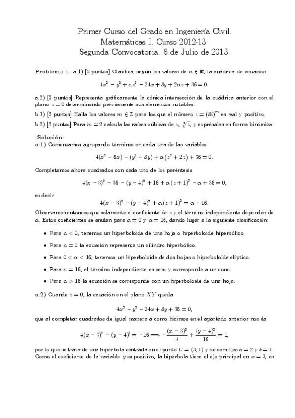
EXÁMENES RESUELTOS

He publicado nuevos apuntes de 1º Matemáticas I: EXÁMENES RESUELTOS

MICivilpruebasolucion1314.pdf
micivilsolucionprimeraconvoc1314.pdf
micivilsegundaconvocsolucion1213.pdf
micivilsolucionprimeraconvoc213.pdf
micivilpruebasolucion1213.pdf
MICivilsegundaconvocatoria1314-.pdf