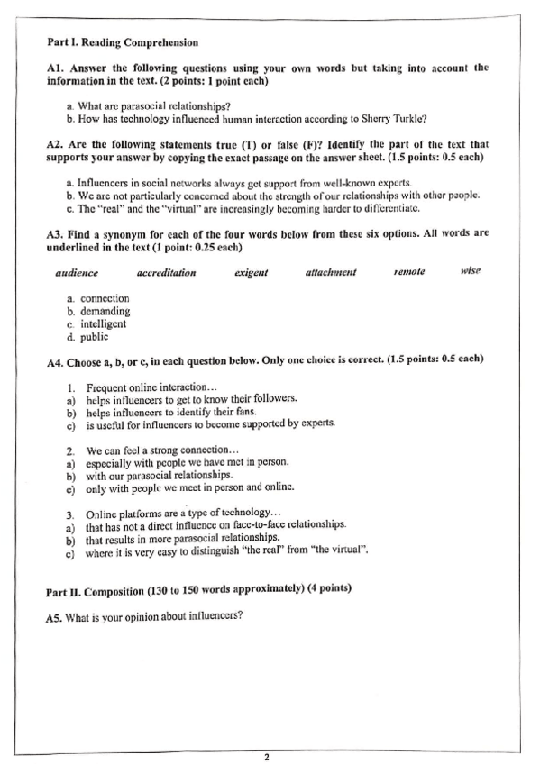
@Alexpra

Bio: Grado en Tecnologías Industriales (UPV)

69 Publicaciones

347 Interacciones

6 Seguidores

2 Siguiendo

Lista de publicaciones de Alexpra

Este es un resumen de todos los teoremas necesarios para sacar una notaza en el Segundo Parcial, este documento no incluye las demostraciones.

2 páginas

Este es un resumen de todos los teoremas necesarios para sacar una notaza en el Primer Parcial, este documento no incluye las demostraciones.

2 páginas

He publicado nuevos apuntes de 1º Física II: Formulario Segundo Parcial.pdf

2 páginas

He publicado nuevos apuntes de 1º Química: Formulario/Resumen Segundo Parcial.pdf

3 páginas

He publicado nuevos apuntes de 1º Física II: Formulario Primer Parcial.pdf

2 páginas

He publicado nuevos apuntes de 1º Química: Formulario/Resumen Primer Parcial.pdf

2 páginas

Este es un resumen de los teoremas necesarios para sacar un 10 en el apartado de teoría del Segundo Parcial, este documento no incluye las demostraciones.

2 páginas

Este es un resumen de todos los teoremas necesarios para sacar una notaza en el Primer Parcial, este documento no incluye las demostraciones.

2 páginas

Aquí os dejo el test de teoría de las Prácticas de Laboratorio con el que saqué un 7. Por lo tanto, todas las respuestas marcadas son correctas.

2 páginas

Estos son algunos de los momentos de inercias más importantes que recomiendo memorizar para el Segundo Parcial de Física I, especialmente útiles para el test.

1 página

He publicado nuevos apuntes de 1º Física I: Formulario Segundo Parcial.pdf

2 páginas

En el test de este Segundo Parcial de Física I todas las respuestas marcadas son correctas, en el test tuve un 7,33.

4 páginas

He publicado nuevos apuntes de 1º Física I: Formulario Primer Parcial.pdf

2 páginas

He publicado nuevos examenes de 1º Física I: Primer Parcial 2024/2025.pdf

4 páginas

Esta es la prueba de Selectividad de la convocatoria ordinaria del mes de junio de 2024.

4 páginas

Aquí va la prueba de la Selectividad de la convocatoria ordinaria del mes de junio de 2024.

4 páginas

Aquí os dejo la prueba de Selectividad de la convocatoria ordinaria del mes de junio de 2024.

4 páginas

Esta es la prueba de Selectividad realizada en la convocatoria ordinaria del mes de junio de 2024.

6 páginas

Por aquí os va el examen de Selectividad de la Lengua Valenciana para que repaséis.

4 páginas

Por aquí os dejo el examen de Selectividad de Física del 2024 de la prueba ordinaria.

4 páginas