@alfemu

37 Publicaciones

988 Interacciones

0 Seguidores

1 Siguiendo

Lista de publicaciones de alfemu

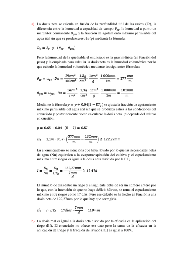
He publicado nuevos apuntes de 2º Valoración y Comercialización de los Productos Agrarios: Formulas-practica-2.pdf

1 página

He publicado nuevos ejercicios de 2º Principios de la Producción Vegetal: Ejercicios-de-rotaciones-y-alternativas-de-cultivos.pdf

18 páginas

He publicado nuevos ejercicios de 2º Fitotecnia General: Problema-1.pdf

3 páginas

apuntes

-

Ejercicios ppv

He publicado nuevos apuntes de 2º Principios de la Producción Vegetal: Ejercicios ppv

Solucion-ejercicios-de-rotaciones.pdf
Solucion-ejercicios-analisis-de-suelos.pdf
Ejercicios-ETc.pdf

apuntes

-

ejercicios de practicas

He publicado nuevos apuntes de 2º Empresa y Estructura Económica Agraria: ejercicios de practicas

Ejercicio-6.ods
Ejercicio-8.ods

apuntes

-

ppv segundo parcial

He publicado nuevos apuntes de 2º Principios de la Producción Vegetal: ppv segundo parcial

TEMA-10-PPV.pdf
TEMA-9-PPV.pdf
Tema-8-PPV.pdf
TEMA-11-PPV.pdf
TEMA-12-PPV.pdf
Tema-7-PPV.pdf

apuntes

-

ppv primer parcial

He publicado nuevos apuntes de 2º Principios de la Producción Vegetal: ppv primer parcial

TEMA-3-PPV.pdf
TEMA-4-PPV.pdf
TEMA-2-PPV.pdf
TEMA-5-PPV.pdf
TEMA-6-PPV.pdf
TEMA-1-PPV.pdf

apuntes

-

Segundo parcial

He publicado nuevos apuntes de 2º Principios de la Producción Vegetal: Segundo parcial

Tema-8-PPV-Relaciones-hidricas.pdf
TEMA-11-PPV-Economia-del-Carbono.pdf
TEMA-9-PPV-Nutricion-mineral-I.pdf

apuntes

-

Primer parcial

He publicado nuevos apuntes de 2º Introducción a la Ganadería: Primer parcial

Introduccion-a-la-ganaderia-tema-1-3.pdf
Tema-4-Reproduccion-animal.pdf

ejercicios

-

Problemas del primer parcial 2019/20

He publicado nuevos ejercicios de 1º Matemáticas I: Problemas del primer parcial 2019/20

Problemas-1234al.pdf

He publicado nuevos apuntes de 1º Matemáticas I: Maximos-minimos-y-puntos-de-silla-de-fxy.pdf

1 página

He publicado nuevos apuntes de 1º Matemáticas I: Resolver-yyxx.pdf

1 página

He publicado nuevos apuntes de 1º Matemáticas I: Resolver-yp.pdf

1 página

examenes

-

Tests TRINITY

He publicado nuevos examenes de Inglés C1: Tests TRINITY

Test-3-ISE-III.pdf
Test-1-ISE-III.pdf
test-2-ISE-III.pdf

He publicado nuevos apuntes de Inglés B1: 2020-01-27164026.pdf

1 página

He publicado nuevos examenes de 1º Matemáticas I: Examen-Primer-parcial-2019.pdf

1 página

apuntes

-

Prácticas maple 2º parcial

He publicado nuevos apuntes de 1º Matemáticas I: Prácticas maple 2º parcial

Practica6.pdf
Practica7.pdf
Practica5.pdf