@aliis34

Estudios: Bachillerato

32 Publicaciones

51 Interacciones

0 Seguidores

0 Siguiendo

Lista de publicaciones de aliis34

He publicado nuevos apuntes de 1º Comunicación Audiovisual: comunicacion-audiovisual.pdf

5 páginas

He publicado nuevos otros de 1º Psicología: Guia-dEstudi-Historia-dels-Corrents-Psicologics.pdf

5 páginas

He publicado nuevos ejercicios de 1º Psicología: Exercicis-Lectura-Ha-Psicologia.pdf

2 páginas

He publicado nuevos apuntes de 1º Biología I: Glucids-i-Lipids.pdf

6 páginas

He publicado nuevos ejercicios de 1º Física y Química: ejercicios-quimica-gases.pdf

1 página

He publicado nuevos ejercicios de 1º Física y Química: ejercicios-quimica-gases.pdf

1 página

He publicado nuevos ejercicios de 1º Física y Química: ejercicios-quimicagases.pdf

1 página

He publicado nuevos ejercicios de 1º Física y Química: ejercicios-quimicagases.pdf

1 página

Apuntes Metrica

4 páginas

He publicado nuevos apuntes de 1º Filosofía: U1-La-filosofia-1r.pdf

15 páginas

He publicado nuevos ejercicios de 1º Matemáticas I: UD01-5-Activitats-de-sintesi-de-la-unitat.pdf

2 páginas

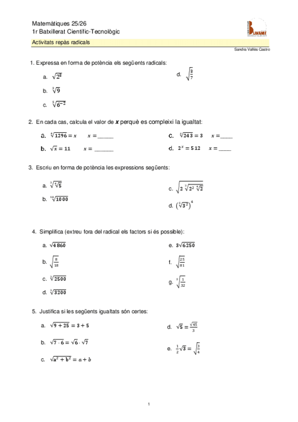
He publicado nuevos ejercicios de 1º Matemáticas I: UD01-3-Repas-radicals.pdf

3 páginas

He publicado nuevos ejercicios de 1º Matemáticas I: UD01-1-El-conjunt-de-nombres-reals.pdf

1 página

He publicado nuevos ejercicios de 1º Matemáticas I: UD01-2-Repas-potencies.pdf

1 página

He publicado nuevos apuntes de 1º Filosofía: Les-formes-del-saber-El-saber-cientific-Ed-Santillana.doc.pdf

10 páginas

He publicado nuevos apuntes de 1º Filosofía: UNITAT-2-ed-Barcanova-1r-batx-conceptes-basics-epistsense-colors.doc.pdf

5 páginas

He publicado nuevos apuntes de 1º Filosofía: METCIENTles-formes-del-saber-Ed-Santillana.docx.pdf

7 páginas

He publicado nuevos apuntes de 1º Filosofía: LA-SENSIBILITATapunts.doc.pdf

3 páginas

He publicado nuevos apuntes de 1º Filosofía: TAULES-DE-VERITAT-Mc-Graw-Hill.docx.pdf

4 páginas

He publicado nuevos apuntes de 1º Filosofía: EL-LLENGUATGE-LOGICMc-Graw-Hill-2003-i-Teide-2001.docx.pdf

6 páginas