@alisanz

29 Publicaciones

1.61k Interacciones

1 Seguidores

1 Siguiendo

Lista de publicaciones de alisanz

Todos los ejercicios del T3 y todas las formulas y cosas importantes del T1, 2 y 3

12 páginas

Ejercicios del Tema 4

3 páginas

Apuntes derecho Primer Parcial

6 páginas

He publicado nuevos apuntes de 2º Macroeconomía II: Ejercicios-Macro-Problemas.pdf

2 páginas

Formulario Macroeconomía I - Parcial I

1 página

apuntes

-

Tema 3 cuestiones problemas y teoría

He publicado nuevos apuntes de 2º Macroeconomía II: Tema 3 cuestiones problemas y teoría

Tema-3-Teoria.pdf
Cuestiones-T3.pdf
problemas-tema-3.pdf

ejercicios

-

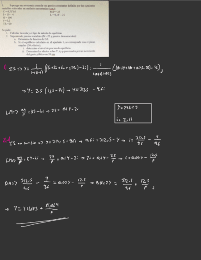
Problema PISAFUERTE explicado

He publicado nuevos ejercicios de 2º Dirección de Producción y Operaciones: Problema PISAFUERTE explicado

WhatsApp-Image-2022-05-22-at-4.jpg
WhatsApp-Image-2022-05-22-at-4.jpg
WhatsApp-Image-2022-05-22-at-4.jpg
WhatsApp-Image-2022-05-22-at-4.jpg

He publicado nuevos apuntes de 2º Macroeconomía II: Tema-4-Teoria.pdf

5 páginas

apuntes

-

Apuntes MACRO II 1r parcial

He publicado nuevos apuntes de 2º Macroeconomía II: Apuntes MACRO II 1r parcial

Tema-2.pdf
Tema-1.pdf