@almudenamatas8

9 Publicaciones

352 Interacciones

0 Seguidores

1 Siguiendo

Lista de publicaciones de almudenamatas8

He publicado nuevos apuntes de 3º Reactores Químicos: ejercicios-rq-tipo-examen.pdf

10 páginas

He publicado nuevos apuntes de 3º Reactores Químicos: resumen-tema-7-rq.pdf

13 páginas

He publicado nuevos apuntes de 3º Reactores Químicos: resumen-tema-6-rq.pdf

9 páginas

He publicado nuevos apuntes de 3º Reactores Químicos: resumen-tema-5-rq.pdf

15 páginas

He publicado nuevos apuntes de 3º Reactores Químicos: resumen-tema-4-rq.pdf

10 páginas

He publicado nuevos apuntes de 3º Reactores Químicos: resumen-tema-3-rq.pdf

6 páginas

He publicado nuevos apuntes de 3º Reactores Químicos: resumen-tema-2-rq.pdf

7 páginas

apuntes

-

Excel ejercicios reactores

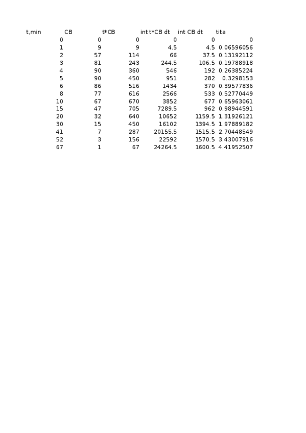
He publicado nuevos apuntes de 3º Reactores Químicos: Excel ejercicios reactores

EJERCICIO-ESTIMULO-EN-IMPULSO.xlsx
EJERCICIO-ESTIMULO-EN-ESCALON.xlsx