@AlumnoAero10

123 Publicaciones

10.69k Interacciones

7 Seguidores

26 Siguiendo

Lista de publicaciones de AlumnoAero10

He publicado nuevos examenes de 3º Mecánica de Sólidos: solparcial1V1.pdf

2 páginas

apuntes

-

Cuestionarios resueltos

He publicado nuevos apuntes de 1º Cálculo II: Cuestionarios resueltos

cuestionario1resuelto.pdf
cuestionario2resuelto.pdf
cuestionario3resuelto.pdf
cuestionario4resuelto.pdf
cuestionario5resuelto.pdf
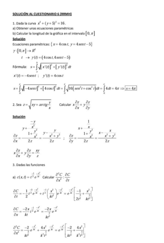
cuestionario6resuelto.pdf

examenes

-

Examenes 2024

He publicado nuevos examenes de 1º Tecnología Aeroespacial: Examenes 2024

Normas-Examenes-mas-datos.pdf
parcial2V1sol.pdf
parcial1solucion.pdf

He publicado nuevos examenes de 1º Cálculo I: examen-continua-2nd-parcial-2023.pdf

8 páginas

He publicado nuevos examenes de 1º Cálculo I: examen-final-ordinaria-2023.pdf

12 páginas

He publicado nuevos examenes de 1º Cálculo I: examen-continua-1er-parcial-2023.pdf

5 páginas

He publicado nuevos examenes de 1º Informática y Programación: final-1-parte-2023.pdf

5 páginas

He publicado nuevos apuntes de 2º Termodinámica: Ejercicios-tema-11.pdf

1 página

He publicado nuevos apuntes de 2º Termodinámica: cuestionario-tema-11.pdf

2 páginas

apuntes

-

Cuestionario tema 10

He publicado nuevos apuntes de 2º Termodinámica: Cuestionario tema 10

Cuestionario-Tema-10.pdf
Cuestionario-Tema-10.pdf
Cuestionario-Tema-10.pdf
Cuestionario-Tema-10.pdf
Cuestionario-Tema-10.pdf
Cuestionario-Tema-10.pdf

apuntes

-

Cuestionario tema 9

He publicado nuevos apuntes de 2º Termodinámica: Cuestionario tema 9

Cuestionario-Tema-9.pdf
Cuestionario-Tema-9.pdf
Cuestionario-Tema-9.pdf
Cuestionario-Tema-9.pdf
Cuestionario-Tema-9.pdf
Cuestionario-Tema-9.pdf