@Alvaro_Sapata

7 Publicaciones

73 Interacciones

1 Seguidores

0 Siguiendo

Lista de publicaciones de Alvaro_Sapata

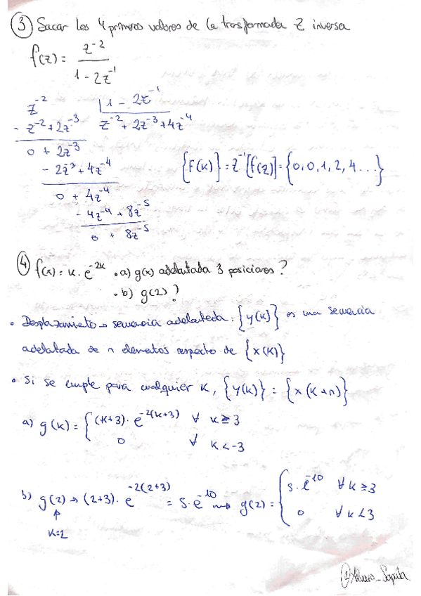
He publicado nuevos apuntes de 3º Control de Procesos Industriales: Problemas-Transformada-Z.pdf

4 páginas

He publicado nuevos apuntes de 3º Control de Procesos Industriales: Problemas-Secuencias.pdf

4 páginas

He publicado nuevos practicas de 1º Física II: Practica-11.pptx

Miniatura no disponible
powerpoint

He publicado nuevos practicas de 1º Física II: Practica-T5A-wuolah.pdf

18 páginas

He publicado nuevos test de 3º Control de Procesos Industriales: Cuestionario-tema-4.pdf

3 páginas

He publicado nuevos test de 3º Control de Procesos Industriales: Cuestionario-tema-3.pdf

6 páginas

He publicado nuevos test de 3º Control de Procesos Industriales: Cuestionario-tema-2.pdf

13 páginas