@alvaroreyman

4.44 € • 2.26k EXP

14 Publicaciones

531 Interacciones

1 Seguidores

0 Siguiendo

Lista de publicaciones de alvaroreyman

practicas

-

PRÁCTICAS RESUELTAS Y EXPLICADAS

He publicado nuevos practicas de 3º PROCESADORES INTEGRADOS: PRÁCTICAS RESUELTAS Y EXPLICADAS

Practica-1-Procesadores-Integrados.pdf
Practica-2-Procesadores-Integrados.pdf

apuntes

-

TEMA 2 -Sistemas lazo cerrado

He publicado nuevos apuntes de 2º Fundamentos de Control: TEMA 2 -Sistemas lazo cerrado

DIAGRAMAS-DE-BLOQUES.pdf
ESTABILIDAD.pdf
ERROR-EN-REGIMEN-ESTACIONARIO.pdf
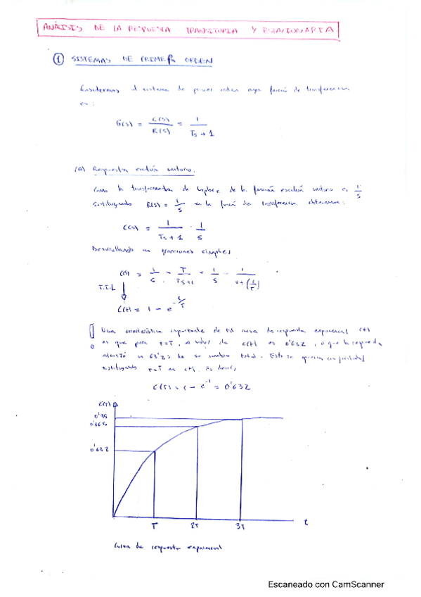
ANALISIS-RESPUESTA-TRANSITORIA.pdf
APUNTES-TRANSFORMADA-DE-LAPLACE.pdf

He publicado nuevos ejercicios de 2º Fundamentos de Control: EJERCICIO-HISTERESIS-EXAMEN-CON-REALIMENTACION-UNITARIA.pdf

3 páginas

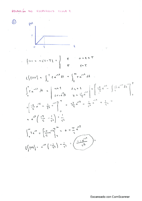
He publicado nuevos ejercicios de 2º Fundamentos de Control: RELACION-TEMA-3.pdf

6 páginas

apuntes

-

TEMA 3

He publicado nuevos apuntes de 2º Fundamentos de Control: TEMA 3

SINTONIZACION-PID-ZIEGLER-NICHOLS.pdf
EFECTOS-INTEGRAL-Y-DERIVATIVO.pdf
CONTROL-TODO-NADA.pdf

He publicado nuevos ejercicios de 2º Fundamentos de Control: RELACION-2-CON-APUNTES.pdf

12 páginas