@AlvaroTC

Estudios: Máster en Ingeniería Industrial (US) ...Mostrar más

17 Publicaciones

1.15k Interacciones

1 Seguidores

0 Siguiendo

Lista de publicaciones de AlvaroTC

He publicado nuevos examenes de 1º Ingeniería del Transporte: Examenes-Transportes.pdf

6 páginas

He publicado nuevos examenes de 3º Ampliación de Elasticidad y Resistencia de Materiales: ExamenAmpliElastSept2021.pdf

4 páginas

He publicado nuevos examenes de 4º Ingeniería Fluidomecánica: Examen-Diciembre-cuestiones-gases.pdf

1 página

He publicado nuevos examenes de 4º Ingeniería Fluidomecánica: Examen-Diciembre-Problema-de-gases.pdf

1 página

He publicado nuevos examenes de 3º Bases para El Diseño de Sistemas Mecánicos: Examen-2a-Convocatoria-2021-Julio.pdf

3 páginas

He publicado nuevos apuntes de 3º Instalaciones y Máquinas Eléctricas: NuevoDocumento-2019-12-12-17.pdf

6 páginas

Toda la teoria necesaria, exceptuando procesos no convencionales que subire proximamente.

15 páginas

Resumen muy útil de la asignatura

8 páginas

Muy útil para memorizarlo para el examen

2 páginas

apuntes

-

Resumen Y Formulario de Empresa (Completos, claros y útiles)

He publicado nuevos apuntes de 3º Organización y Gestión de Empresas: Resumen Y Formulario de Empresa (Completos, claros y útiles)

Resumen Org y Gest de Empresa.pdf
Formulario de Empresa.pdf

La 2a parte que me quedaba por subir

3 páginas

Exceptuando correas y engranajes que subiré en otro documento.

7 páginas

Completo y con ejemplos

11 páginas

Próximamente subiré la parte de mecanizado

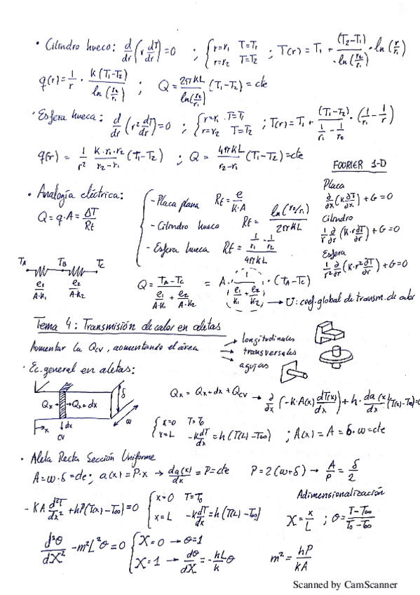
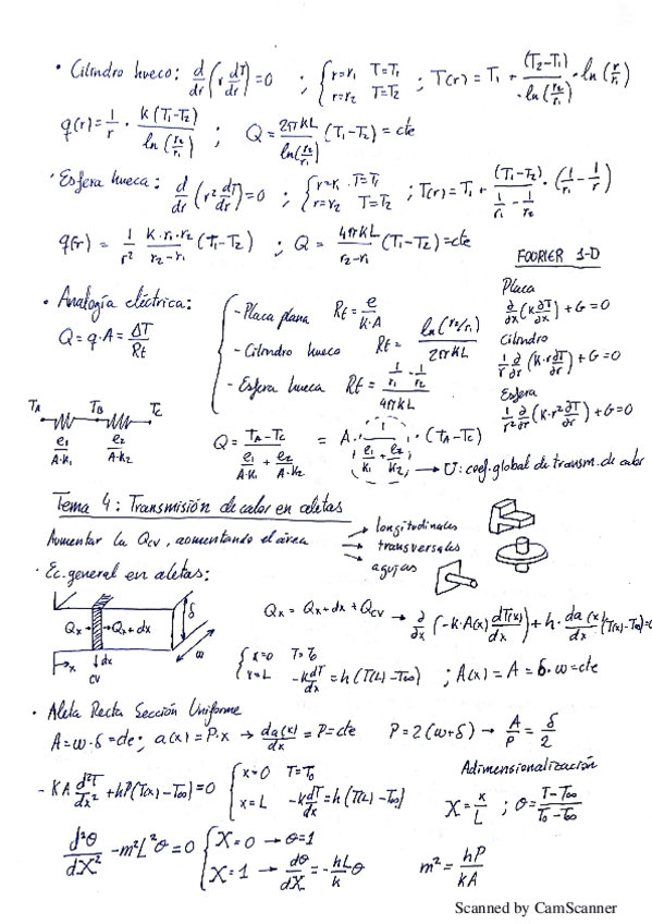
18 páginas

Todo lo que necesitas saber para aprobar

17 páginas

Exceptuando tema de engranajes y correas que subire cuando tenga tiempo.

7 páginas