@alvmorcal

52 Publicaciones

3.56k Interacciones

7 Seguidores

0 Siguiendo

Lista de publicaciones de alvmorcal

apuntes

-

Láminas curso 2018/2019

He publicado nuevos apuntes de 1º Expresión Gráfica: Láminas curso 2018/2019

Primer-cuatrimestre.pdf
Segundo-Cuatrimestre.pdf

apuntes

-

Apuntes de clase

He publicado nuevos apuntes de 1º Química General: Apuntes de clase

Tema 1. Introducción. Estequiometría.pdf
Tema 2. Termoquímica.pdf
Tema 3. Propiedades generales y estados de la materia.pdf
Tema 5. Líquidos y soluciones.pdf
Tema 4. Gases.pdf
Ejercicios resueltos (Temas 1- 2, 3, 4 y 5).pdf

ejercicios

-

Seminarios 2018-2019

He publicado nuevos ejercicios de 1º Química General: Seminarios 2018-2019

Seminario 1. Balance de materia.pdf
Seminario 2. Termoquímica.pdf
Seminario 3. Equilibrio líquido-vapor.pdf
Seminario 4. Cinética y equilibrio.pdf
Seminario 5. Ácido-Base y Pilas.pdf

apuntes

-

Apuntes de clase

He publicado nuevos apuntes de 1º Física II: Apuntes de clase

Teoría (Primer parcial).pdf
Teoría para el segundo parcial.pdf
Teoría para el segundo parcial 2. (Termodinámica).pdf

practicas

-

Prácticas (2018-2019)

He publicado nuevos practicas de 1º Informática: Prácticas (2018-2019)

Práctica 3.pdf
Práctica 1.pdf
Práctica 4.pdf
Práctica 2.pdf
Práctica 5.pdf
Práctica 6.pdf

apuntes

-

Apuntes de clase

He publicado nuevos apuntes de 1º Matemáticas III: Apuntes de clase

Lección 1. Derivadas parciales.pdf
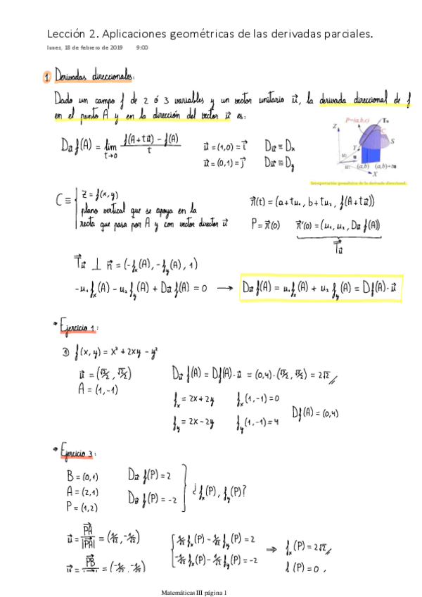
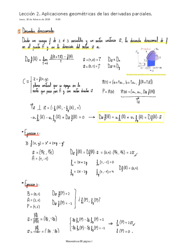
Lección 2. Aplicaciones geométricas de las derivadas parciales.pdf
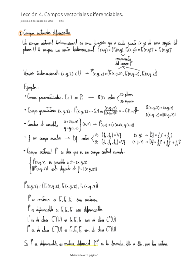
Lección 4. Campos vectoriales diferenciables.pdf
Lección 3. Optimización de campos escalares.pdf
Lección 8. Los teoremas integrales.pdf
Lección 7. Integrales de superficie.pdf

apuntes

-

Formularios

He publicado nuevos apuntes de 1º Física II: Formularios

Formulario (Primer parcial).pdf

examenes

-

Matemáticas I

He publicado nuevos examenes de 1º Matemáticas I: Matemáticas I

Ejercicios de exámenes.pdf
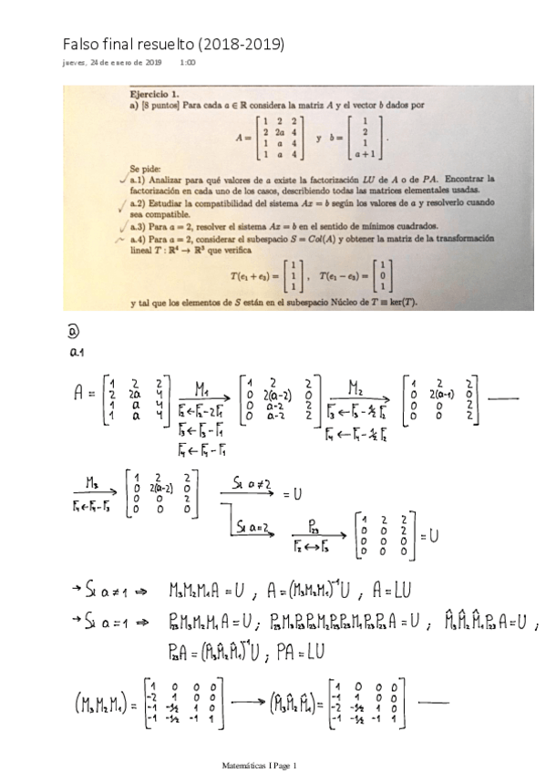
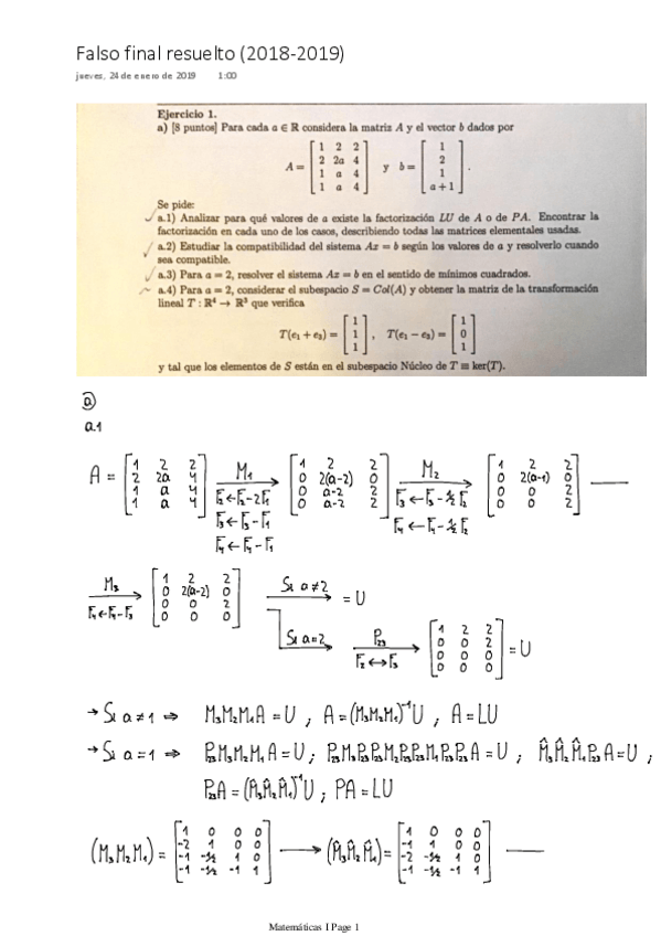
Falso final resuelto (2018-2019).pdf