@alwaystressed

29 Publicaciones

860 Interacciones

0 Seguidores

2 Siguiendo

Lista de publicaciones de alwaystressed

@useeer123, puedes subir el documento de qf1 por separado, que no deja descargar, por favor?

He publicado nuevos apuntes de 2º Fisiologia Celular y Humana Ii: Tema-20.pdf

3 páginas

He publicado nuevos apuntes de 2º Fisiologia Celular y Humana Ii: TEMA-19-COMPOSICION.pdf

9 páginas

He publicado nuevos apuntes de 2º Fisiologia Celular y Humana Ii: TEMA-18.pdf

7 páginas

He publicado nuevos practicas de 2º Microbiología II: Prácticas micro II.pdf

7 páginas

EUTIROX

el usuario eutirox, de la asignatura tf1, que por favor, los resúmenes con viseras del tema 2-6, los suba por separado, ya que no deja descargarlos al ser un documento grande.

He publicado nuevos practicas de 1º Química Orgánica I: practicasorganica.pdf

6 páginas

He publicado nuevos practicas de 2º Fisicoquímica: cuadernillofisicoquimica.pdf

14 páginas

He publicado nuevos practicas de 1º Técnicas Instrumentales: cuadernillo-TI.pdf

17 páginas

He publicado nuevos practicas de 2º Fisiologia Celular y Humana Ii: CUADERNILLO PRACTICAS FISIO II.pdf

22 páginas

He publicado nuevos apuntes de 2º Fisiologia Celular y Humana Ii: TEMA-3-fisio.pdf

11 páginas

He publicado nuevos apuntes de 2º Fisiologia Celular y Humana Ii: TEMA-2-fisio.pdf

9 páginas

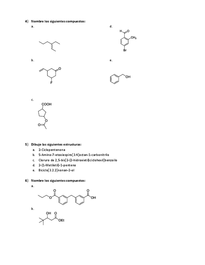
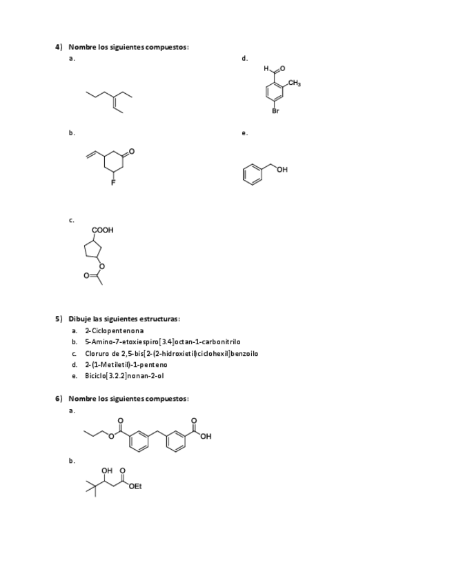
He publicado nuevos ejercicios de 1º Química Orgánica I: Ejercicios-de-Formulacion.pdf

3 páginas

He publicado nuevos apuntes de 1º Bioquímica Estructural: Actividades-tema-1-4-2022-2.pdf

3 páginas

He publicado nuevos apuntes de 1º Anatomía e Histología Humanas: BLOQUE-3.docx

word

He publicado nuevos apuntes de 1º Anatomía e Histología Humanas: BLOQUE-I-Y-II-anatomia.pdf

9 páginas

He publicado nuevos apuntes de 1º Anatomía e Histología Humanas: tejido-conectivo-conjuntivo.pdf

16 páginas

He publicado nuevos apuntes de 1º Anatomía e Histología Humanas: TEJIDO-MUSCULAR.docx

word

He publicado nuevos apuntes de 1º Anatomía e Histología Humanas: tejido-epitelial.pdf

5 páginas