@AmonaCaminos

16 Publicaciones

437 Interacciones

0 Seguidores

0 Siguiendo

Lista de publicaciones de AmonaCaminos

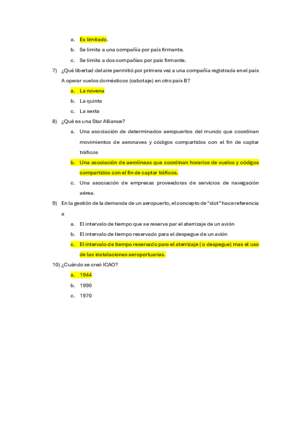
He publicado nuevos apuntes de 2º Aeropuertos: TEST-PRIMER-PARCIAL.pdf

9 páginas

He publicado nuevos apuntes de 1º Termomecánica de Medios Continuos : Termomecanica-de-medios-continuos-Teoria-Parte-2.pdf

32 páginas

He publicado nuevos apuntes de 1º Termomecánica de Medios Continuos : Termomecanica-de-medios-continuos-Teoria-Parte-1.pdf

30 páginas

He publicado nuevos ejercicios de 1º Termomecánica de Medios Continuos : Termomecanica-de-medios-continuos-Problemas-de-clase-resueltos-Parte-2.pdf

40 páginas

He publicado nuevos ejercicios de 1º Termomecánica de Medios Continuos : Termomecanica-de-medios-continuos-Problemas-de-clase-resueltos-Parte-1.pdf

30 páginas

He publicado nuevos examenes de 1º Termomecánica de Medios Continuos : Termomecanica-de-medios-continuos-Examenes-resueltos-Parte-2.pdf

30 páginas

He publicado nuevos examenes de 1º Termomecánica de Medios Continuos : Termomecanica-de-medios-continuos-Examenes-resueltos-Parte-1.pdf

30 páginas

He publicado nuevos apuntes de 1º Sistemas de Abastecimiento y Saneamiento : Sistemas-de-abastecimiento-y-saneamiento-Primer-parcial-Parte-2.pdf

30 páginas

He publicado nuevos apuntes de 1º Sistemas de Abastecimiento y Saneamiento : Sistemas-de-abastecimiento-y-saneamiento-Primer-parcial-Parte-1.pdf

40 páginas

He publicado nuevos apuntes de 1º Ingeniería Marítima, Puertos y Costas : Ingenieria-maritima-Teoria-Primer-parcial-Parte-2.pdf

20 páginas

He publicado nuevos apuntes de 1º Ingeniería Marítima, Puertos y Costas : Ingenieria-maritima-Teoria-Primer-parcial-Parte-1.pdf

40 páginas

He publicado nuevos apuntes de 1º Sistemas de Abastecimiento y Saneamiento : Sistemas-de-abastecimiento-y-saneamiento-Segundo-parcial.pdf

46 páginas

He publicado nuevos apuntes de 1º Ingeniería Marítima, Puertos y Costas : Ingenieria-maritima-Teoria-Segundo-parcial.pdf

52 páginas

He publicado nuevos examenes de 1º Ingeniería Marítima, Puertos y Costas : Ingenieria-maritima-Examenes-resueltos.pdf

50 páginas

He publicado nuevos ejercicios de 1º Ingeniería Marítima, Puertos y Costas : Ingenieria-maritima-Ejercicio-Segundo-parcial.pdf

28 páginas

He publicado nuevos ejercicios de 1º Ingeniería Marítima, Puertos y Costas : Ingenieria-maritima-Ejercicio-Primer-parcial.pdf

46 páginas