@Ana26_b

11 Publicaciones

478 Interacciones

0 Seguidores

0 Siguiendo

Lista de publicaciones de Ana26_b

ejercicios

-

ejercicios estadistica

He publicado nuevos ejercicios de 1º Estadística: ejercicios estadistica

ejercicios-relacion-3.pdf
ejercicios-relacion-4.pdf

practicas

-

Prácticas

He publicado nuevos practicas de 1º Estadística: Prácticas

ESTADISTICA-ORACTICA-2-1.pdf

apuntes

-

ejercicios iee

He publicado nuevos apuntes de 1º Introducción a la Economia de la Empresa: ejercicios iee

ejercicio-2.pdf
ejercicio-2.pdf
cuestiones-test-1.pdf

He publicado nuevos practicas de 1º Estadística: ESTADISTICAPRACTICA1.pdf

7 páginas

apuntes

-

ejercicios de repaso

He publicado nuevos apuntes de 1º Introducción a las Finanzas Empresariales: ejercicios de repaso

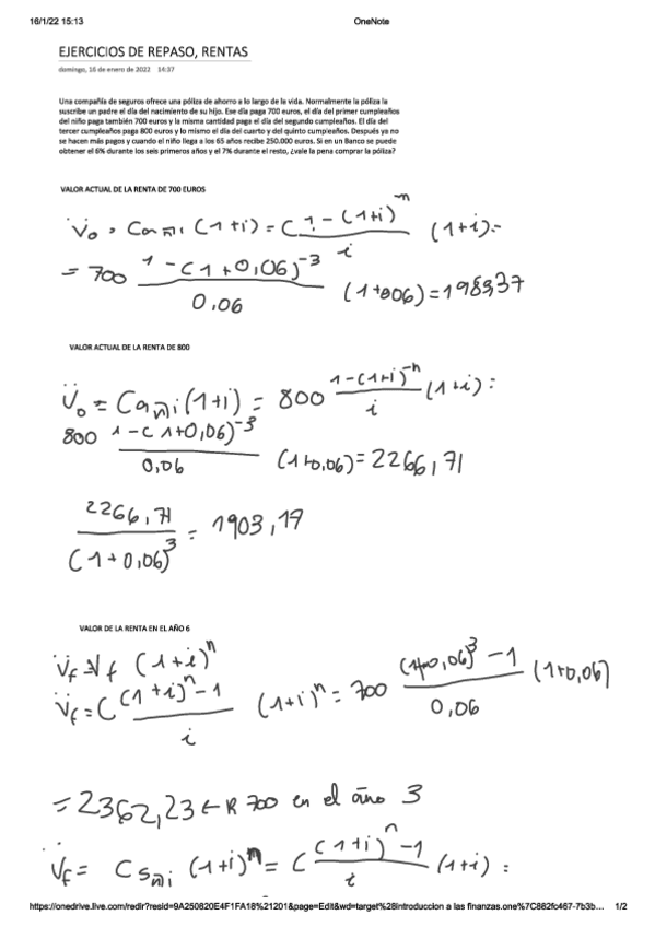
ejercicios-de-repaso-parte-rentas.pdf
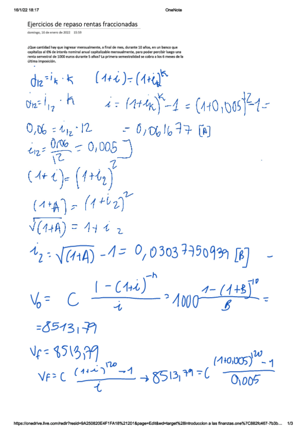
ejercicios-de-repaso-parte-rentas-fraccionadas.pdf

He publicado nuevos apuntes de 1º Introducción a las Finanzas Empresariales: Practica-8.xlsx

excel

He publicado nuevos ejercicios de 1º Introducción a las Finanzas Empresariales: ejercicios-tema-4.pdf

4 páginas