@Anaaa94

225 Publicaciones

6.04k Interacciones

6 Seguidores

0 Siguiendo

Lista de publicaciones de Anaaa94

apuntes

-

Resumen por temas Tratamiento

He publicado nuevos apuntes de 4º Tratamientos en Psicología Clínica y de la Salud: Resumen por temas Tratamiento

FOBIAS-ESPECIFICAS.pdf
TOC.pdf
INTRODUCCION-Y-REGULACION-EMOCIONAL.pdf
TEPT.pdf
TRASTORNO-DE-ANGUSTIA-Y-AGORAFOBIA.pdf
DEPRESION.pdf

He publicado nuevos apuntes de 4º Tratamientos en Psicología Clínica y de la Salud: Resumen-temas-tratamiento.pdf

77 páginas

He publicado nuevos apuntes de 4º Psicopatología Clínica: RESUMEN-TEMAS.pdf

36 páginas

examenes

-

Exámenes pensamiento 2020, 2019

He publicado nuevos examenes de 3º Psicologia del Pensamiento: Exámenes pensamiento 2020, 2019

2-pensamiento-189.pdf
4-PREGUNTAS-PENSAMIENTO.pdf
3-pensmiento-grupo-clase.pdf
1-EXAMEN-PENSAMIENTO.pdf

He publicado nuevos apuntes de 3º Neuropsicología: RESUMEN-TEMAS-1-13.pdf

59 páginas

He publicado nuevos apuntes de 4º Bases Biológicas de las Psicopatologías: BASES-BIOLOGICAS.pdf

32 páginas

He publicado nuevos apuntes de 4º psicopatologia de la infancia y adolescencia: PSICOPATOLOGIA-DE-LA-INFANCIA-Y-ADOLESCENCIA.pdf

25 páginas

apuntes

-

Recopilación exámenes Evaluación

He publicado nuevos apuntes de 2º Evaluacion y Diagnostico Psicologicos: Recopilación exámenes Evaluación

Examen 2.jpg
Exámen 5.docx
Examen 1.jpg
Examen 4.jpg
Examen 3.jpg
Examen-5.pdf

apuntes

-

Apuntes Completos Metodología

He publicado nuevos apuntes de 2º Metodologia Experimental: Apuntes Completos Metodología

Tema 2 Metodología Experimental.docx
Apuntes Metodología Experimental.docx
Tema 1 Metodología Experimental.docx
Tema-2-Metodologia-Experimental.pdf
Tema-1-Metodologia-Experimental.pdf
Tema-1-Metodologia.pdf

apuntes

-

Exámenes Metodología

He publicado nuevos apuntes de 1º Metodologia de la Investigacion y Estadistica I: Exámenes Metodología

Examen Metodología desde 2011.docx
Examen-Metodologia-desde-2011.pdf

apuntes

-

FUNDAMENTOS 1: RESÚMENES COMPLETOS

He publicado nuevos apuntes de 1º Fundamentos de Psicobiología I: FUNDAMENTOS 1: RESÚMENES COMPLETOS

TEMA-4-COMPLETO.pdf
TEMA-2-COMPLETO.pdf
TEMA-8-COMPLETO.pdf
TEMA-6-COMPLETO.pdf
TEMA-1-COMPLETO.pdf
TEMA-7-COMPLETO.pdf

apuntes

-

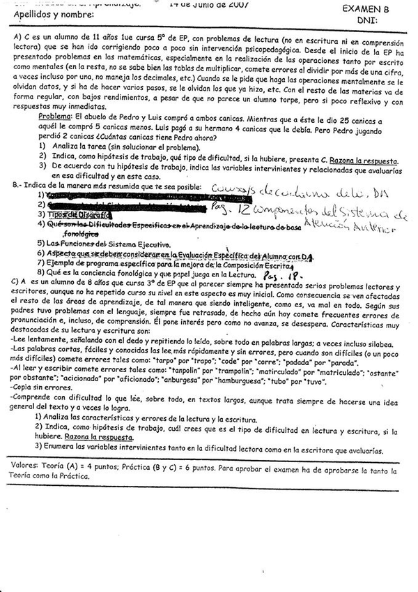
Exámenes 2010-2019 Dificultades

He publicado nuevos apuntes de 3º Dificultades en el Aprendizaje Escolar: Exámenes 2010-2019 Dificultades

Dificultades delaprendizaje Examen 1.doc
Dificultades del Aprendizaje Examen 10.jpg
Dificultades del Aprendizaje Examen 7.jpg
Dificultades aprendizaje Examen 2.doc
Dificultades del Aprendizaje Examen 8.jpg
Dificultades del Aprendizaje Examen 3.pdf

apuntes

-

Exámenes Comunitaria

Recopilación de exámenes Psicología Comunitaria con respuestas

Recopilación preguntas examen Comunitaria organizada por Tema.docx
Preguntas de examenes Comunitaria.pdf
Examen Comunitaria 1.doc
Examen Comunitaria 2.jpg
Examen Comunitaria 3.jpg
Examen Comunitaria 5.doc

apuntes

-

Temario Completo

He publicado nuevos apuntes de 1º Psicología de la Personalidad: Temario Completo

Tema-4-Personalidad.pdf
Tema-3-Personalidad.pdf
Tema-2-Personalidad.pdf
Tema-1-Personalidad.pdf

apuntes

-

Recopilación Exámenes 2010-2018

He publicado nuevos apuntes de 2º Psicometría: Recopilación Exámenes 2010-2018

Examen-teorico-Psicometria-2017.pdf
Examen-Psicometra.pdf
Recopilacion-preguntas-examen-teorico.pdf
Examenes-2016-2018.pdf
Examen-practico.pdf
Examen-practico-psicometria-2017.pdf