@AnaG2

14 Publicaciones

377 Interacciones

1 Seguidores

0 Siguiendo

Lista de publicaciones de AnaG2

Apuntes de Derecho Int. Privado-Ruby Sibony

Quería preguntart sobre quién tiene los apuntes de Ruby Sibony de Derecho Internacional Privado

INTERNACIONAL PRIVADO

Alguien tiene a una tal GISELA MORENO CORDERO en Internacional Privado. ¿Qué entra? ¿Tienes apuntes? ¿Cómo es el examen?

Como es el examen final de micro iii (G.Economía o doble grado)

Se que son 4 preguntas. Pero, preguntas como cuales, y alguien sabe lo que suele caer en el examen?

ejercicios

-

Ejercicios Resueltos y Corregidos Por el Profesor

MUY BUENOS PARA PRACTICAR

EJERCICIOS DE DIFERENCIABILIDAD MATES II.pdf
SOLUCIONES A LOS EJERCICIOS DE DIFERENCIABILIDAD MATES II.pdf
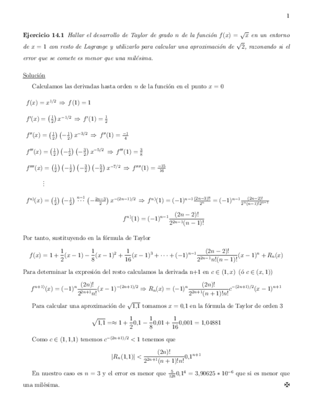
Taylor enunciados.pdf
Taylor soluciones.pdf
Integrales enunciados.pdf
integrales soluciones.pdf

ejercicios

-

EJERCICIOS CORREGIDOS POR EL PROFESOR

He publicado nuevos ejercicios de 2º Matemáticas II: EJERCICIOS CORREGIDOS POR EL PROFESOR

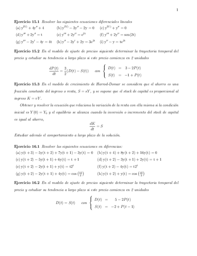
Taylor enunciados.pdf
Taylor soluciones.pdf
Integrales enunciados.pdf
integrales soluciones.pdf
Soluciones ecuaciones diferenciales y en diferencias.pdf
Enunciados ecuaciones diferenciales.pdf