@anapinoperez

497 Publicaciones

15.96k Interacciones

15 Seguidores

0 Siguiendo

Lista de publicaciones de anapinoperez

apuntes

-

Resumen Tema 1 al 7

He publicado nuevos apuntes de 3º Psicología Social del Turismo: Resumen Tema 1 al 7

Resumen-T2.pdf
Resumen-T1.pdf
Resumen-T3.pdf

apuntes

-

TODAS las prácticas HECHAS

He publicado nuevos apuntes de 3º Psicología Social del Turismo: TODAS las prácticas HECHAS

Practica-cognicion-social-ejemplos.pdf
Practica-Tema-2.pdf
Practica-Ciencia-del-Mal.pdf
Practica-Tema-3.pdf
Practica-T4-Evaluacion-estereotipos.pdf
Subir-nota.pdf

apuntes

-

todas las PRÁCTICAS con SOLUCIÓN

He publicado nuevos apuntes de 3º Planificación Territorial y Turismo Sostenible: todas las PRÁCTICAS con SOLUCIÓN

Resolucion-caso-Coronavirus.pdf
PRACTICA-2B-BLOQUE-III.pdf
Resolucion-caso-Pensamiento-critico-y-sostenibilidad.pdf
Resolucion-caso-Temporales-marinos.pdf
Resolucion-caso-Turismo-en-Lisboa.pdf
Productos-sostenibles.pdf

He publicado nuevos apuntes de 3º Marketing Turístico: TESTS.pdf

6 páginas

He publicado nuevos apuntes de 3º Marketing Turístico: TODOS-LOS-TEMAS.pdf

56 páginas

He publicado nuevos apuntes de 1º Apuntes Variados: Examen-final.pdf

3 páginas

He publicado nuevos apuntes de 3º Informática Aplicada a la Gestión de Empresas Turísticas: TEMA-4-y-5.pdf

106 páginas

apuntes

-

ORBIS Todas las prácticas hechas

He publicado nuevos apuntes de 3º Informática Aplicada a la Gestión de Empresas Turísticas: ORBIS Todas las prácticas hechas

4.pdf
4.pdf
4.pdf
4.pdf

He publicado nuevos apuntes de 3º Informática Aplicada a la Gestión de Empresas Turísticas: RECOPILACION-RESPUESTAS-1o-PARCIAL-INFORMATICA.pdf

5 páginas

apuntes

-

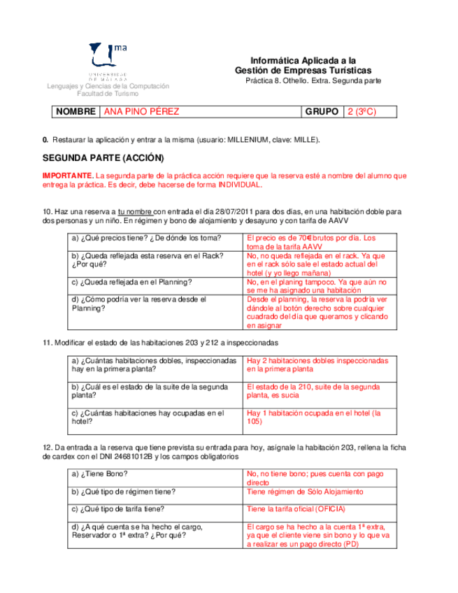
MILLENIUM Todas las prácticas HECHAS

He publicado nuevos apuntes de 3º Informática Aplicada a la Gestión de Empresas Turísticas: MILLENIUM Todas las prácticas HECHAS

Practica-3.pdf
Practica-3.pdf
Practica-3.pdf
Practica-3.pdf
Practica-3.pdf
Practica-3.pdf