@Anasanchezj

Bio: APUNTES, ESQUEMAS Y ACTIVIDADES DE CLASE

9 Publicaciones

327 Interacciones

1 Seguidores

4 Siguiendo

Lista de publicaciones de Anasanchezj

He publicado nuevos apuntes de Inglés: Tiempos-verbales.pdf

4 páginas

He publicado nuevos apuntes de Inglés: Modales.pdf

2 páginas

He publicado nuevos apuntes de Inglés: Pasiva-Conditional-y-Reported-speech.pdf

5 páginas

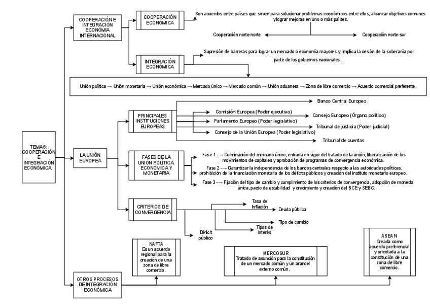
He publicado nuevos apuntes de 1º Introducción a la Economía: Tema-6.pdf

1 página

He publicado nuevos apuntes de 1º Fundamentos de Dirección de Operaciones: Esquema.pdf

1 página

He publicado nuevos apuntes de 1º Fundamentos de Dirección de Operaciones: Apuntes-de-clase.pdf

1 página

Actividades-de-clase-tema-5.pdf

4 páginas

He publicado nuevos ejercicios de 1º Fundamentos de Dirección de Operaciones: 8.pdf

1 página

Actividades 10(a, b), 8(ñ), 12 y 15(a)

2 páginas