@andreaaaaa_

29 Publicaciones

3.16k Interacciones

1 Seguidores

0 Siguiendo

Lista de publicaciones de andreaaaaa_

apuntes

-

Apuntes por bloques

He publicado nuevos apuntes de 2º Fisiología Humana II: Apuntes por bloques

1.-Bloque-cardiaco.pdf
2.-Bloque-respiratorio.pdf
3.-Bloque-renal.pdf
4.-Bloque-digestivo.pdf

He publicado nuevos apuntes de 2º Fisiología Humana II: Apuntes completos y seminarios.pdf

252 páginas

He publicado nuevos apuntes de 2º Microbiología II: Microbiologia-II.pdf

114 páginas

He publicado nuevos apuntes de 2º Fisiología Humana I: Apuntes-fisiologia-completos.pdf

198 páginas

He publicado nuevos apuntes de 2º Fisiología Humana I: Seminarios.pdf

21 páginas

He publicado nuevos examenes de 2º Fisiología Humana I: Recopilacion-preguntas-otros-anos.pdf

21 páginas

apuntes

-

Artículos resumidos 2021-2022 Grupo C

He publicado nuevos apuntes de 1º Legislacion y Deontologia: Artículos resumidos 2021-2022 Grupo C

Legislacion.pdf
Codigo-Deontologico.pdf

He publicado nuevos apuntes de 1º Matemáticas y Estadística II: Apuntes-practicas.pdf

3 páginas

He publicado nuevos examenes de 1º Matemáticas y Estadística II: Examenes-anteriores-resueltos.pdf

15 páginas

He publicado nuevos apuntes de 1º Matemáticas y Estadística II: Apuntes-teoricos-mates.pdf

18 páginas

apuntes

-

Boletines resueltos 2021-2022

He publicado nuevos apuntes de 1º Matemáticas y Estadística II: Boletines resueltos 2021-2022

Boletin-homoxeneidade-e-independencia.pdf
Boletin-contraste-de-hipoteses-de-2-variables.pdf
Boletin-regresion-linear-e-ANOVA.pdf
Boletin-contraste-de-hipoteses-de-1-variable.pdf
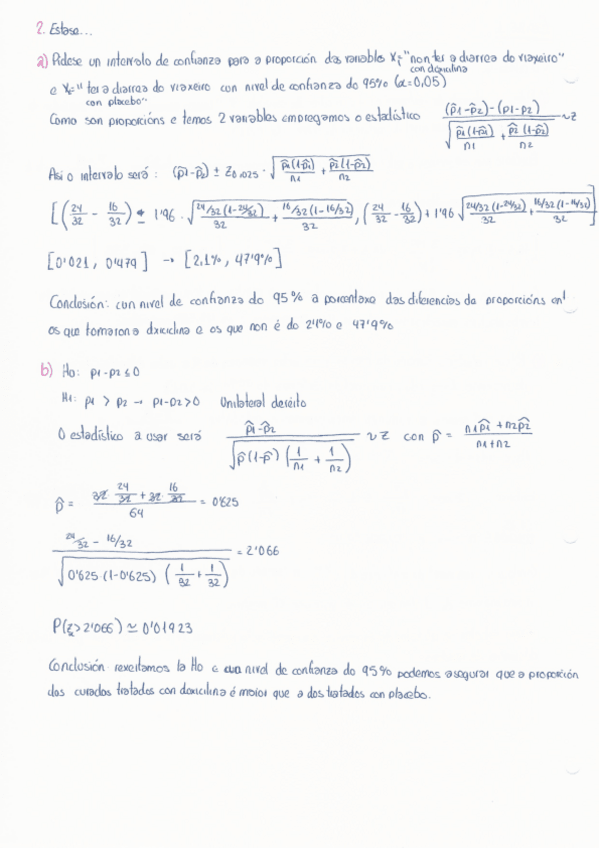
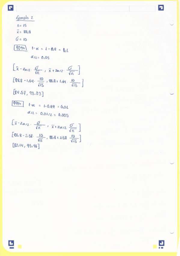
Boletin-intervalos-de-confianza.pdf

apuntes

-

Boletines resueltos 2021-2022 GRUPO C

He publicado nuevos apuntes de 1º Técnicas Analíticas: Boletines resueltos 2021-2022 GRUPO C

Boletin-1-Introduccion.pdf
Boletin-4-Reacciones-de-precipitacion.pdf
Boletin-5-Reacciones-redox-.pdf
Boletin-2-Reacciones-acido-base.pdf
Boletin-3-Reacciones-de-formacion-de-complejos.pdf
Boletin-6-Estadistica.pdf