@andreamc8

16 Publicaciones

785 Interacciones

2 Seguidores

1 Siguiendo

Lista de publicaciones de andreamc8

He publicado nuevos examenes de 3º Morfosintaxis II: modelo-examen-febrero-2020.docx

word

He publicado nuevos apuntes de 3º Historia de la Lengua Inglesa I: THE-HISTORY-OF-ENGLISH-CLASSES.pdf

32 páginas

He publicado nuevos examenes de 4º Lingüística Contrastiva (Inglés-Español): examen-linguistica-contrastiva.docx

word

He publicado nuevos apuntes de 4º Análisis Lingüístico de Inglés: reusmenes-tema-4-6.docx

word

He publicado nuevos apuntes de 4º Lingüística Contrastiva (Inglés-Español): UNIT-6.pdf

12 páginas

apuntes

-

UNIT 5

He publicado nuevos apuntes de 4º Lingüística Contrastiva (Inglés-Español): UNIT 5

UNIT-5.pdf

He publicado nuevos apuntes de 4º Lingüística Contrastiva (Inglés-Español): RESUMENES.docx

word

He publicado nuevos apuntes de 4º Traducción: resumenes.pdf

9 páginas

He publicado nuevos apuntes de 4º Léxico-Semántica y Pragmática: resumenes-teoria.pdf

24 páginas

He publicado nuevos apuntes de 4º Análisis Lingüístico de Inglés: resumenes tema 1-3

word

He publicado nuevos apuntes de 3º Enseñanza del Español Como Lengua Extranjera: unidad-didactica-terminada.pdf

18 páginas

He publicado nuevos apuntes de 3º Enseñanza del Español Como Lengua Extranjera: VADEMECUM.docx

word

He publicado nuevos apuntes de 3º Adquisición y Aprendizaje de Lenguas: RESUMENES.docx

word

He publicado nuevos apuntes de 3º Literatura Norteamericana I: Del Transcendentalismo a la Época Contemporánea: Resumenes.docx

word

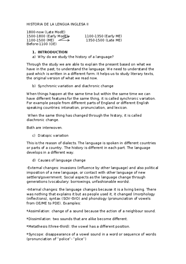
He publicado nuevos apuntes de 3º Historia de la Lengua Inglesa II: TABLAS.docx

word

apuntes

-

HISTORIA DE LA LENGUA INGLESA II

He publicado nuevos apuntes de 3º Historia de la Lengua Inglesa II: HISTORIA DE LA LENGUA INGLESA II

HISTORIA-DE-LA-LENGUA-INGLESA-II.docx