@Andreea027

Bio: Graduado en Ingeniería de Telecomunicaciones en la ETSIT.

31 Publicaciones

1.61k Interacciones

1 Seguidores

2 Siguiendo

Lista de publicaciones de Andreea027

He publicado nuevos apuntes de 1º Integración de Redes, Aplicaciones y Contenidos: Resumen-parcial-1.pdf

11 páginas

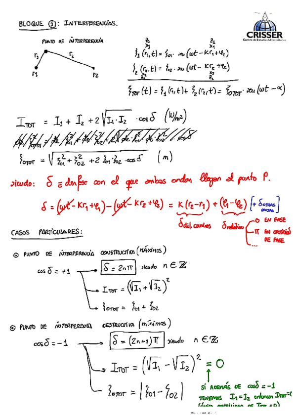
He publicado nuevos apuntes de 1º Física General II: Resumen-ondas.pdf

6 páginas

He publicado nuevos practicas de 3º Electrónica de Comunicaciones: Informe-lab-3.pdf

45 páginas

He publicado nuevos practicas de 3º Electrónica de Comunicaciones: Informe-lab-1.pdf

21 páginas

He publicado nuevos ejercicios de 3º Sistemas de energía: ENTREGABLE3.pdf

2 páginas

He publicado nuevos examenes de 3º Sistemas de energía: Parcial2023-con-solucion.pdf

7 páginas

He publicado nuevos apuntes de 3º Sistemas de Transmisión: Tema5apuntes-profe-bueno.pdf

159 páginas

He publicado nuevos apuntes de 3º Sistemas de Transmisión: Tema4apuntes-profe-bueno.pdf

111 páginas

He publicado nuevos apuntes de 3º Sistemas de Transmisión: Tema3apuntes-profe-bueno.pdf

193 páginas

He publicado nuevos apuntes de 3º Sistemas de Transmisión: Tema1apuntes-profe-bueno.pdf

110 páginas

He publicado nuevos apuntes de 3º Sistemas de Transmisión: Tema2apuntes-profe-bueno.pdf

102 páginas

He publicado nuevos apuntes de 3º Computación en Red: CODIGO-de-las-PRACTICAS (Chuleta examen) -2023.pdf

54 páginas

He publicado nuevos examenes de 3º Computación en Red: Chuleta-de-examen-2023.pdf

54 páginas

He publicado nuevos examenes de 1º Ingeniería Web: Preguntas-de-Test-Parcial-1.pdf

21 páginas

He publicado nuevos apuntes de 2º Electromagnetismo: Apuntes-de-ELMG.pdf

10 páginas

He publicado nuevos apuntes de 3º Teoría de la Información: Apuntes-curso-entero-TINF.pdf

32 páginas

Clase de Pablo Sánchez (coordinador)

2 páginas

He publicado nuevos apuntes de 3º Comunicaciones Ópticas: Resumenes -Chuleta-COPT.pdf

pdf

He publicado nuevos apuntes de 2º Electrónica e Instrumentación Básicas: Resumen-EINB.pdf

10 páginas

ejercicios

-

Ejercicios RDPR 2023

He publicado nuevos ejercicios de 3º Radiación y Propagación: Ejercicios RDPR 2023

Ejercicio-1.pdf
Ejercicio-2.pdf
Ejercicio-3.pdf
Ejercicio-4.pdf
Ejercicio-5.pdf
Ejercicio-6.pdf