@Andreea_610

128 Publicaciones

5.43k Interacciones

9 Seguidores

1 Siguiendo

Lista de publicaciones de Andreea_610

He publicado nuevos apuntes de 4º Clínica Quirúrgica: Cuernos-Chus.pdf

2 páginas

He publicado nuevos apuntes de 4º Clínica Quirúrgica: Resumenes-Marta.pdf

4 páginas

He publicado nuevos apuntes de 4º Clínica Quirúrgica: Resumenes-Marta-y-Manolo.pdf

4 páginas

He publicado nuevos apuntes de 4º Clínica Quirúrgica: Protocolos-anestesicos-caballos-rumiant.pdf

4 páginas

He publicado nuevos apuntes de 4º Clínica Quirúrgica: Resumen-cosas-importantes-altonaga.pdf

4 páginas

He publicado nuevos apuntes de 4º Clínica Quirúrgica: Suturas.pdf

3 páginas

He publicado nuevos examenes de 4º Clínica Quirúrgica: Examen-CQ-junio-2023.pdf

9 páginas

He publicado nuevos apuntes de 5º Tecnología de los Alimentos: COSAS-IMPORTANTES-EXAMEN-1-PARCIAL-TA.pdf

3 páginas

He publicado nuevos apuntes de 5º Tecnología de los Alimentos: COSAS-IMPORTANTES-2-PARCIAL-TA.pdf

2 páginas

He publicado nuevos examenes de 5º Higiene, Inspección y Seguridad Alimentaria: examen-1er-parcial-higiene.pdf

2 páginas

He publicado nuevos apuntes de 3º Nutrición Animal: Apuntes-aditivos-piensos.pdf

3 páginas

He publicado nuevos apuntes de 2º Etnología y Etología: RAZAS-OVEJAS.pdf

9 páginas

He publicado nuevos apuntes de 3º Toxicología y Veterinaria Legal: intoxicacion-por-fluor-1.pdf

pdf

He publicado nuevos apuntes de 3º Toxicología y Veterinaria Legal: cuaderno-de-practicas-toxi.pdf

pdf

He publicado nuevos apuntes de 3º Toxicología y Veterinaria Legal: ENVENENAMIENTO-POR-MONOXIDO-DE-CARBONO-1.pdf

pdf

He publicado nuevos apuntes de 3º Toxicología y Veterinaria Legal: CHOCOLATE.pdf

pdf

apuntes

-

problemas resueltos

He publicado nuevos apuntes de 1º Bioquímica: problemas resueltos

cinetica-enzimatica.pdf
Purificacion-enzimas-entregar-def.pdf
problemas-aminoacidos-def.pdf
metabolismo-entregar-def.pdf
purificacion-y-actividad-de-enzimas-def.pdf
problemas-enzimatica-def.pdf

apuntes

-

ejercicios física

He publicado nuevos apuntes de 1º FUNDAMENTOS DE QUÍMICA Y FÍSICA: ejercicios física

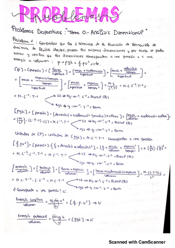
Problemas-analisis-dimensional.pdf
fluidos.pdf
ejercicio-para-entregar.pdf

apuntes

-

apuntes completos física

He publicado nuevos apuntes de 1º FUNDAMENTOS DE QUÍMICA Y FÍSICA: apuntes completos física

t-5-fluidos-viscosos.pdf
tema-3-f.pdf
tema-9-fisica.pdf
tema-1-analisis-dimensional.pdf
tema-2-estatica-de-fluidos.pdf
tema-8-fisica.pdf

He publicado nuevos apuntes de 2º Genética: Problemas-Practica-B-resueltos.pdf

1 página