@andressance

10 Publicaciones

436 Interacciones

2 Seguidores

0 Siguiendo

Lista de publicaciones de andressance

Apuntes breves de como hacer los algoritmos de MAD

1 página

Apuntes de practicas de AMA

Miniatura no disponible

He publicado nuevos apuntes de 1º Matemática Discreta: tautologies.pdf

1 página

practicas

-

Practicas FFI

He publicado nuevos practicas de 1º Fundamentos Físicos de la Informática: Practicas FFI

Copia-de-P2-alumnos-NI.xls
Copia-de-P12020.xlsx
Copia-de-P3-Osciloscopio-1.xls
P4condensador.xls
P5HojaResultados.xls

apuntes

-

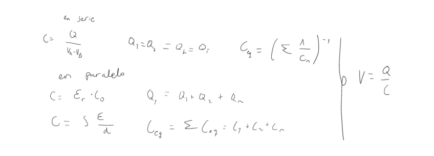
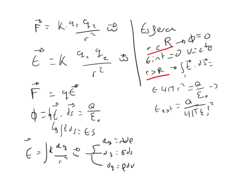
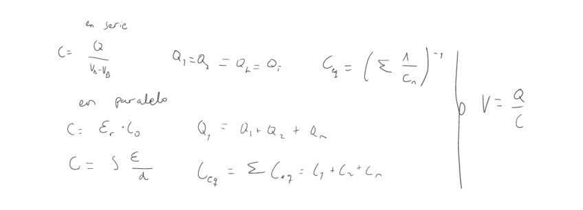
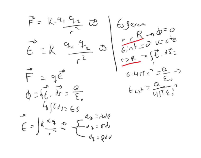
Fórmulas FFI

Puede que no esten todas.

Formulas-FFI.pdf
Formulas-FFI-T2.pdf