@Andyrr

Estudios: Grado en Matemáticas (UMA) ...Mostrar más

Bio: Andrés Romero Roldán. Estudiante de 5º del Doble Grado en Matemáticas + Ing. en Tecnologías de Telecomunicación en la UMA.

42 Publicaciones

1.49k Interacciones

3 Seguidores

2 Siguiendo

Lista de publicaciones de Andyrr

Tema 4 de Fundamentos de Procesado Digital de la Señal mediante Inteligencia Artificial, del plan nuevo de Ingeniería en Tecnologías de Telecomunicación UMA.

18 páginas

Apuntes del Tema 3 de Procesado Digital de la Señal mediante Inteligencia Artificial, del plan nuevo de Ingeniería en Tecnologías de Telecomunicación UMA

25 páginas

Tema 2 de Procesado Digital de la Señal Mediante Inteligencia Artificial, del plan nuevo de Ingeniería en Tecnologías de Telecomunicación UMA.

20 páginas

Apuntes del Tema 1 de Procesado Digital de la Señal mediante Inteligencia Artificial. Plan nuevo del Grado en Ingeniería en Tecnologías de Telecomunicación UMA.

44 páginas

Ejercicios propuestos en el CV de Fundamentos de Propagación de Ondas.

46 páginas

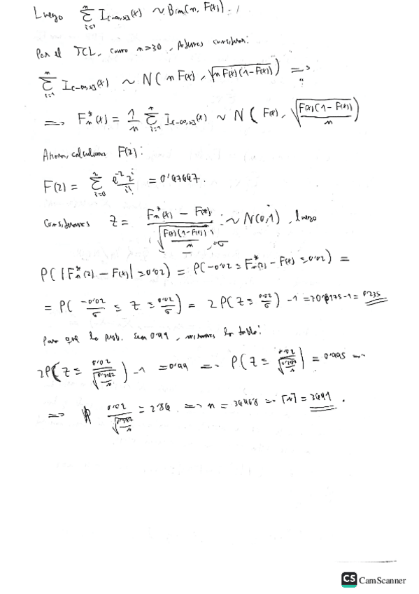
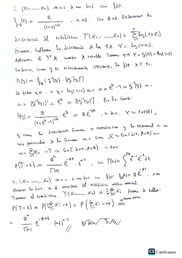
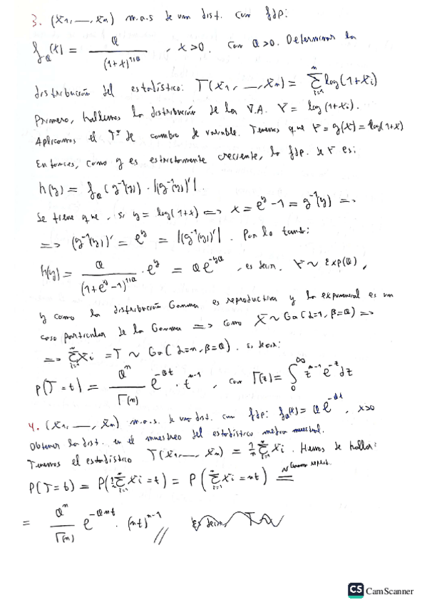
He publicado nuevos ejercicios de 3º Inferencia Estadística: InferenciaREL3.1.COMPLETA.pdf

11 páginas

He publicado nuevos examenes de 2º Fundamentos de Propagación de Ondas: Ondasjunio2022.pdf

14 páginas

He publicado nuevos examenes de 2º Fundamentos de Propagación de Ondas: Ondasjunio2023.pdf

15 páginas

He publicado nuevos examenes de 2º Fundamentos de Propagación de Ondas: Ondasjunio2021.pdf

19 páginas

He publicado nuevos apuntes de 3º Fundamentos de Radiocomunicación: TemarioParcialRadio.pdf

14 páginas

He publicado nuevos apuntes de 2º Fundamentos de Propagación de Ondas: Tema3Magnetostatica.pdf

19 páginas

He publicado nuevos apuntes de 2º Fundamentos de Propagación de Ondas: Tema2Electrostatica.pdf

35 páginas

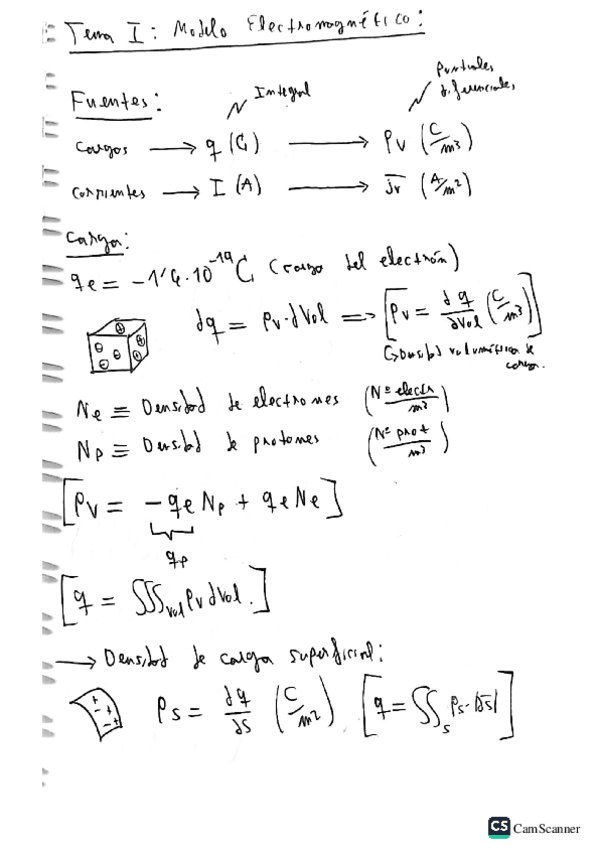
He publicado nuevos apuntes de 2º Fundamentos de Propagación de Ondas: Tema1ModeloElectromagnetico.pdf

29 páginas

He publicado nuevos apuntes de 2º Fundamentos de Propagación de Ondas: Tema0AnalisisVectorial.pdf

28 páginas

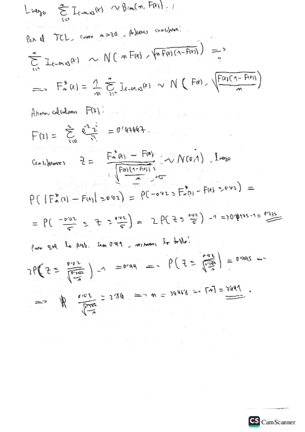
He publicado nuevos ejercicios de 3º Inferencia Estadística: INFERENCIAREL2 COMPLETA.pdf

10 páginas

Falta el ejercicio 7

4 páginas

He publicado nuevos ejercicios de 3º Inferencia Estadística: INFERENCIAREL1.pdf

6 páginas

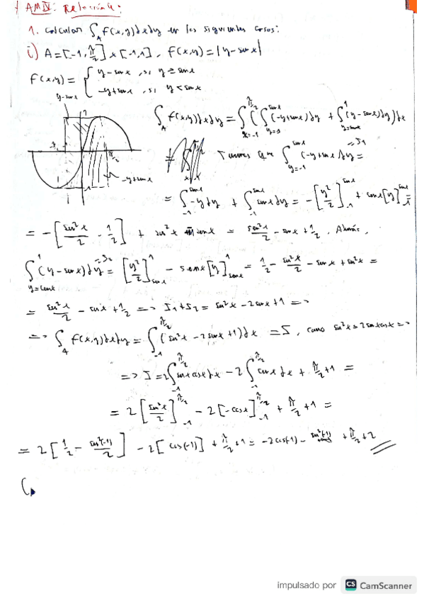
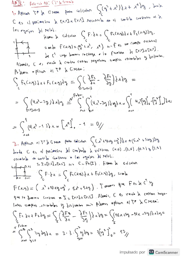
He publicado nuevos ejercicios de 2º Análisis Matemático Iv: AMIVREL10GREEN.pdf

2 páginas

He publicado nuevos ejercicios de 2º Análisis Matemático Iv: AMIVREL9.pdf

6 páginas

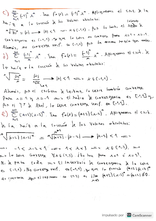
He publicado nuevos ejercicios de 2º Análisis Matemático Iv: AMIVREL8IMPROPIAS.pdf

4 páginas