@annaa20

46 Publicaciones

280 Interacciones

1 Seguidores

0 Siguiendo

Lista de publicaciones de annaa20

He publicado nuevos apuntes de 4º Auditoría Financiera: tema-1-1.1.pdf

4 páginas

He publicado nuevos apuntes de 4º Gestión Comercial y Ventas: TEMA-1-CASTELLANO.pdf

6 páginas

apuntes

-

Apuntes libro Grupo ARA

He publicado nuevos apuntes de 2º Contabilidad de Costes: Apuntes libro Grupo ARA

AN-INTRODUCTION-TO-COST-TERMS-AND-PURPOSES.docx
INVENTORIES.docx
4.docx

apuntes

-

Examenes con solucion

He publicado nuevos apuntes de 1º Contabilidad Financiera: Examenes con solucion

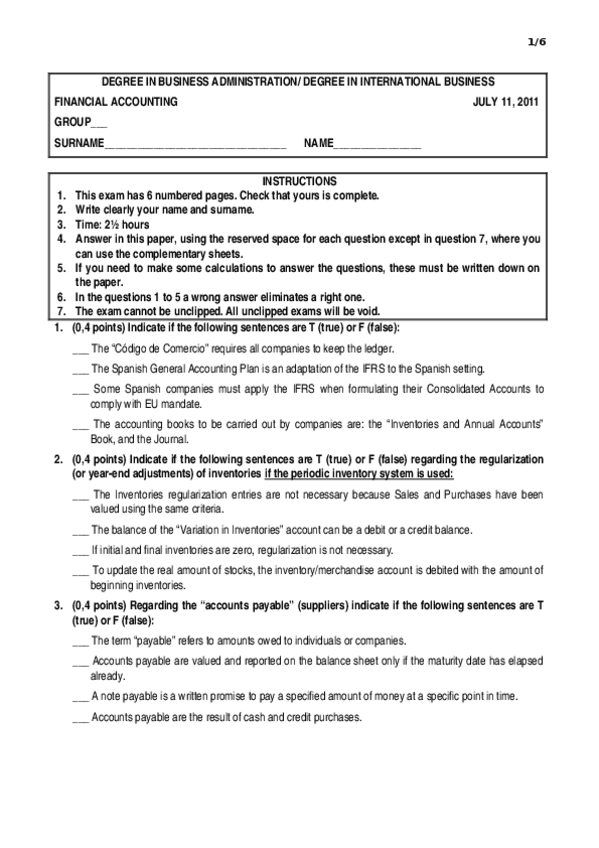
july2011.docx
JUNIO2018-SOLUCION.pdf
july2011solution-13-14.pdf
july-2012.docx
july2013solution-13-14.pdf
july-2012-solution13-14.pdf

apuntes

-

Examenes anteriores estadistica

He publicado nuevos apuntes de 1º Estadística Básica: Examenes anteriores estadistica

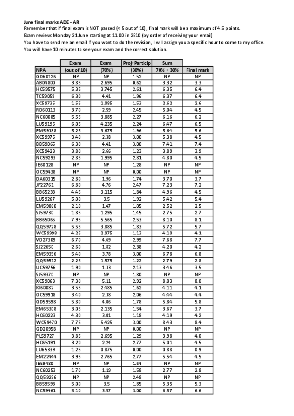
june-final-marks-ADE-AR-2020-21-Estadistica-Basica.pdf
EXAMENES-2002-2020.pdf
exam-25-june-2019.pdf
exam-25-june-2019.pdf
exam-22-may-2019.pdf
short-solutions-exam-22-may-2019.pdf

apuntes

-

Derecho mercantil

He publicado nuevos apuntes de 1º Derecho Mercantil I: Derecho mercantil

BOE-A-2010-10544.pdf
Unit-1-transcript-class.docx
1.docx
Unit-2-transcript-class.docx
Lesson2.pdf
Pr02.pdf

apuntes

-

Fundamentos

He publicado nuevos apuntes de 1º Fundamentos de Dirección de Empresas: Fundamentos

Unit-2.docx
Unit-6.docx
Unit-1.docx
Unit-7.docx
Unit-3.docx
Unit-5.docx

apuntes

-

Contabilidad

He publicado nuevos apuntes de 1º Contabilidad Financiera: Contabilidad

Unit-3.docx
Unit-1.docx
Unit-6.docx
Unit-5.docx
Unit-4.docx
Unit-2.docx