@anniitaa15

Bio: Apuntes 2 bachillerato

37 Publicaciones

236 Interacciones

6 Seguidores

1 Siguiendo

Lista de publicaciones de anniitaa15

Apuntes de cinética completos.

2 páginas

Apuntes de termoquímica de 2 de bachillerato completos

1 página

Ejercicios selectividad de estequiometria

6 páginas

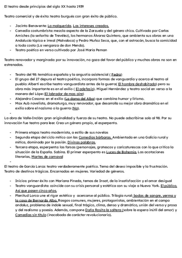
Tema 8 literatura resumido

1 página

Tema 9 resumido de literatura

2 páginas

Guía de lectura de bernarda alba

3 páginas

Ejercicios resueltos de equilibrio.

5 páginas

Ejercicios de ácido base sacados de emestrada solucionados

4 páginas

Apuntes ácido base

1 página

Ejercicios distribución normal y binomial con corrección de yates. Ejercicios de emestrada

2 páginas

Teoría distribución normal, binomial y corrección de yates

1 página

He publicado nuevos apuntes de Lengua Castellana y Literatura II: Bernarda-1.pdf

1 página

He publicado nuevos apuntes de Lengua Castellana y Literatura II: Bernarda-2.pdf

1 página

La casa de Bernarda alba, resumen completo

1 página

Problemas resuelto de equilibrio, precipitará e ion común de emestrada, con detalles importantes a saber

5 páginas

Apuntes de equilibrio químico, solubilidad, ion común y precipitará.

1 página

Resumen tema 7 biologia

8 páginas

Resumen tema 4 literatura. La poesía desde el modernismo a las vanguardias

3 páginas

Resumen tema 5 literatura. La poesía del grupo poético del 27; etapas y obras

4 páginas

Teoría mates 1 trimestre, estudio de funciones, integrales,área entre dos integrales y optimización

1 página